【药物名称】Amtolmetin guacil, ST-679, MED-15, Eufans
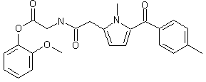
化学结构式(Chemical Structure):
参考文献No.10043
标题:Pyrroleacetic acid amides, their preparation and use
作者:Baglioni, A. (Medosan; Sigma-Tau)
来源:BE 0896018
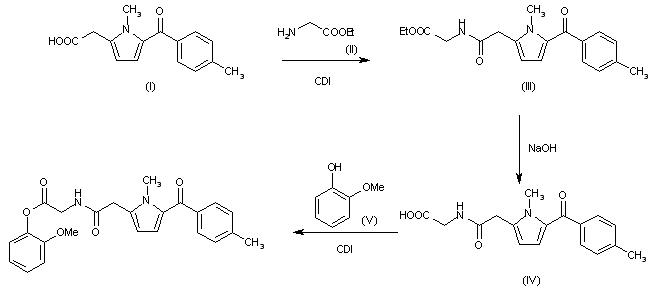
合成路线图解说明:

The condensation of 1-methyl-5-(4-methylbenzoyl)pyrrole-2-acetic acid (I) with glycine ethyl ester (II) by means of carbonyldiimidazole (CDI) and triethylamine in THF gives the corresponding acetamidoacetate (III), which is hydrolyzed with NaOH in THF-water yielding 2-[2-[1-methyl-5-(4-methylbenzoyl)pyrrol-2-yl]acetamido]acetic acid (IV). Finally, this compound is esterified with 2-methoxyphenol (guayacol) (V) by means of CDI in hot THF.

参考文献No.109633
标题:ST-679
作者:Serradell, M.N.; Casta馿r, J.; Casta馿r, R.M.; Arrigoni-Martelli, E.
来源:Drugs Fut 1989,14(10),963
合成路线图解说明:

The condensation of 1-methyl-5-(4-methylbenzoyl)pyrrole-2-acetic acid (I) with glycine ethyl ester (II) by means of carbonyldiimidazole (CDI) and triethylamine in THF gives the corresponding acetamidoacetate (III), which is hydrolyzed with NaOH in THF-water yielding 2-[2-[1-methyl-5-(4-methylbenzoyl)pyrrol-2-yl]acetamido]acetic acid (IV). Finally, this compound is esterified with 2-methoxyphenol (guayacol) (V) by means of CDI in hot THF.

Drug Information Express,Drug R&D,Chemical Database,Patent Search.
Copyright © 2006-2026 Drug Future. All rights reserved.Contact Us