【药物名称】Terflavoxate hydrochloride, ND-907, REC-15/2053
化学结构式(Chemical Structure):
参考文献No.10243
标题: 3-Methylflavone-8-carboxylic acid esters
作者:Nardi, D.; Tajana, A.; Cazzulati, P.; Graziani, G.; Pennini, R.; Casadio, S. (Recordati Industria Chimica e Farmaceutica SpA)
来源:EP 0072620; GB 2104507
合成路线图解说明:

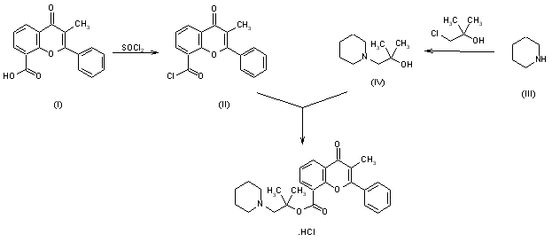
The chlorination of 2-phenyl-3-methyl-4-oxo-4H-1-benzopyran-8-carboxylic acid (I) with thionyl chloride gives the corresponding chloride (II), which is esterified with 1,1-dimethyl-2-(1-piperidinyl)ethanol (IV), obtained by alkylation of excess piperidine (III) with 1-chloro-2-methyl-2-propanol. Rec 15/2053 is obtained as the hydrochloride.

参考文献No.240994
标题:Terflavoxate Hydrochloride
作者:Testa, R.; Leonardi, A.; Tajana, A.
来源:Drugs Fut 1994,19(3),248
合成路线图解说明:

The chlorination of 2-phenyl-3-methyl-4-oxo-4H-1-benzopyran-8-carboxylic acid (I) with thionyl chloride gives the corresponding chloride (II), which is esterified with 1,1-dimethyl-2-(1-piperidinyl)ethanol (IV), obtained by alkylation of excess piperidine (III) with 1-chloro-2-methyl-2-propanol. Rec 15/2053 is obtained as the hydrochloride.

参考文献No.604456
标题:Urinary incontinence in the elderly. Physiology, pathophysiology, diagnosis and treatment
作者:Williams, M.E.; Pannil, C.
来源:Ann Intern Med 1982,97(6),895-907
合成路线图解说明:

The chlorination of 2-phenyl-3-methyl-4-oxo-4H-1-benzopyran-8-carboxylic acid (I) with thionyl chloride gives the corresponding chloride (II), which is esterified with 1,1-dimethyl-2-(1-piperidinyl)ethanol (IV), obtained by alkylation of excess piperidine (III) with 1-chloro-2-methyl-2-propanol. Rec 15/2053 is obtained as the hydrochloride.

Drug Information Express,Drug R&D,Chemical Database,Patent Search.
Copyright © 2006-2026 Drug Future. All rights reserved.Contact Us