【药物名称】Elgodipine hydrochloride, IQB-875
化学结构式(Chemical Structure):
参考文献No.9901
标题:1,4-Dihydropyridines, process for their preparation and their use as medicaments
作者:Fern醤dez Torija, C.; Galiano Ramos, J.A. (IIDQB (Madrid))
来源:AU 8820330; BE 1001055; CH 675999; EP 0302980; GB 2208861; JP 1989294675; US 4952592
合成路线图解说明:

Elgodipine can be obtained in three main steps: The alkylation of N-methyl-2-aminoethanol (I) with 4-fluorobenzyl chloride (II) gives 2-[N-(4-fluorobenzyl)-N-methylamino]ethanol (III), which is esterified with 2,2,6-trimethyl-4H-1,3-dioxin-4-one (IV) yielding the corresponding acetoacetic ester (V). The condensation of (V) with 2,3-methylenedioxybenzaldehyde (VI) affords 2-[N-(4-fluorobenzyl)-N-methylamino]ethyl 2-(2,3-methylenedioxybenzylidene]acetoacetate (VII), which is finally cyclized with isopropyl 3-aminocrotonate (VIII). The intermediate aldehyde (VI) is obtained starting from 2,3-dimethoxybenzaldehyde (X), which by demethylation with HCl or HBr yields 2,3-dihydroxybenzaldehyde (XI). Finally, this compound is converted into (VI) in the usual way. The intermediate crotonate (VIII) is obtained by reaction of isopropyl acetoacetate (IX) with ammonia.

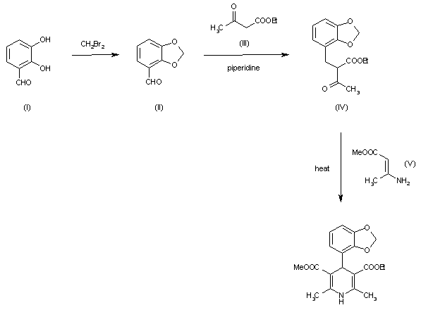
参考文献No.52934
标题:Oxodipine
作者:Serradell, M.N.; Casta馿r, J.; Casta馿r, R.M.
来源:Drugs Fut 1987,12(7),633
合成路线图解说明:

The cyclization of 2,3-dihydroxybenzaldehyde (I) with dibromomethane by means of KF in hot DMF gives 2,3-methylenedioxybenzaldehyde (II), which is condensed with ethyl acetoacetate (III) by means of piperidine and acetic acid in refluxing benzene to afford ethyl 2-acetyl-3-(2,3-methylenedioxyphenyl)acrylate (IV). Finally, this compound is cyclized with methyl 3-aminocrotonate (V) in hot isopropanol.

合成路线图解说明:

Elgodipine can be obtained in three main steps: The alkylation of N-methyl-2-aminoethanol (I) with 4-fluorobenzyl chloride (II) gives 2-[N-(4-fluorobenzyl)-N-methylamino]ethanol (III), which is esterified with 2,2,6-trimethyl-4H-1,3-dioxin-4-one (IV) yielding the corresponding acetoacetic ester (V). The condensation of (V) with 2,3-methylenedioxybenzaldehyde (VI) affords 2-[N-(4-fluorobenzyl)-N-methylamino]ethyl 2-(2,3-methylenedioxybenzylidene]acetoacetate (VII), which is finally cyclized with isopropyl 3-aminocrotonate (VIII). The intermediate aldehyde (VI) is obtained starting from 2,3-dimethoxybenzaldehyde (X), which by demethylation with HCl or HBr yields 2,3-dihydroxybenzaldehyde (XI). Finally, this compound is converted into (VI) in the usual way. The intermediate crotonate (VIII) is obtained by reaction of isopropyl acetoacetate (IX) with ammonia.

参考文献No.287936
标题:Elgodipine Hydrochloride
作者:Galiano, A.
来源:Drugs Fut 1995,20(3),231
合成路线图解说明:

Elgodipine can be obtained in three main steps: The alkylation of N-methyl-2-aminoethanol (I) with 4-fluorobenzyl chloride (II) gives 2-[N-(4-fluorobenzyl)-N-methylamino]ethanol (III), which is esterified with 2,2,6-trimethyl-4H-1,3-dioxin-4-one (IV) yielding the corresponding acetoacetic ester (V). The condensation of (V) with 2,3-methylenedioxybenzaldehyde (VI) affords 2-[N-(4-fluorobenzyl)-N-methylamino]ethyl 2-(2,3-methylenedioxybenzylidene]acetoacetate (VII), which is finally cyclized with isopropyl 3-aminocrotonate (VIII). The intermediate aldehyde (VI) is obtained starting from 2,3-dimethoxybenzaldehyde (X), which by demethylation with HCl or HBr yields 2,3-dihydroxybenzaldehyde (XI). Finally, this compound is converted into (VI) in the usual way. The intermediate crotonate (VIII) is obtained by reaction of isopropyl acetoacetate (IX) with ammonia.

Drug Information Express,Drug R&D,Chemical Database,Patent Search.
Copyright © 2006-2026 Drug Future. All rights reserved.Contact Us