【药物名称】Sezolamide hydrochloride, MK-417
化学结构式(Chemical Structure):
参考文献No.96003
标题:MK-417
作者:Baldwin, J.J.; Ponticello, G.S.; Sugrue, M.F.
来源:Drugs Fut 1989,14(7),636
合成路线图解说明:

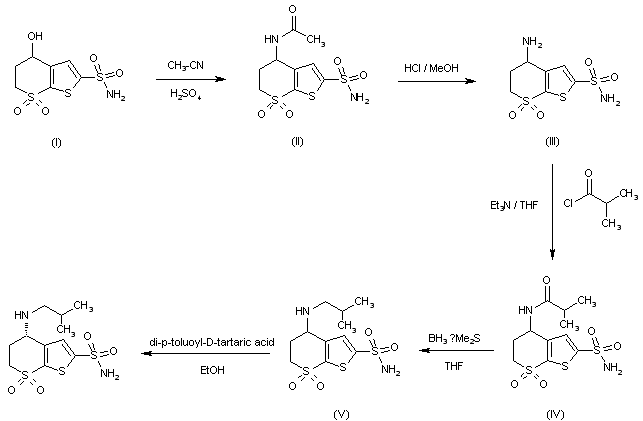
The reaction of (I) with acetonitrile in sulfuric acid provides the amide (II), which after hydrolysis in 12N HCl/methanol yields the 4-amino derivative (III). Acylation of (III) with isobutyryl chloride followed by reduction with borane-methylsulfide complex gives the racemate (V), MK-927 (2). The resolution of MK-927 is accomplished through the di-p-toluoyl-D-tartaric acid salt.

参考文献No.107076
标题:Thienothiopyran-2-sulfonamides: A novel class of water-soluble carbonic anhydrase inhibitors
作者:Ponticello, G.S.; Freedman, M.B.; Habecker, C.N.; Lyle, P.A.; Schwam, H.; Varga, S.L.; Christy, M.E.; Randall, W.C.; Baldwin, J.J.
来源:J Med Chem 1987,30591-7
合成路线图解说明:

The reaction of (I) with acetonitrile in sulfuric acid provides the amide (II), which after hydrolysis in 12N HCl/methanol yields the 4-amino derivative (III). Acylation of (III) with isobutyryl chloride followed by reduction with borane-methylsulfide complex gives the racemate (V), MK-927 (2). The resolution of MK-927 is accomplished through the di-p-toluoyl-D-tartaric acid salt.

参考文献No.139986
标题:An asymmetric synthesis of MK-0417 - Observations on oxazaborolidine-catalyzed reductions
作者:Reamer, R.A.; Jones, T.J.; Jones, E.T.T.; Blacklock, T.J.; Grabowski, E.J.J.; Mathre, D.J.; Roberts, F.E.; Mohan, J.J.; Xavier, L.C.; Sohar, P.
来源:J Org Chem 1991,56(2),763
合成路线图解说明:

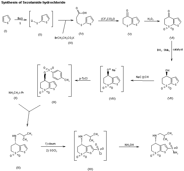
A new synthesis of MK-417 has been published: The reaction of thiophene (I) with butyllithium and sulfur in THF yields thiophene-2-thiol lithium salt (II) which, without isolation, is condensed with potassium 3-bromopropionate (III) in water - THF giving 3-(2-thienylthio)propanoic acid (IV). The cyclization of (IV) with trifluoroacetic anhydride in hot toluene affords 5,6-dihydro-4H-thieno[2,3-b]thiopyran-4-one (V), which is oxidized with H2O2 and sodium tungstate in ethyl acetate - toluene to give the corresponding 7,7-dioxide (VI). The stereocontrolled reduction of (VI) with borane - methylsulfide and (S)-1-methyl-3,3-diphenyltetrahydropyrrolo[1,2-c][1,3,2]oxaazaborole as catalyst in THF yields (R)-(+)-5,6-dihydro-4H-thieno[2,3-b]thiopyran-4-ol 7,7-dioxide (VII), which is converted to the corresponding sodium salt (VIII) with sodium acetylide in THF. This salt (VIII), without isolation, is treated with p-toluenesulfonyl chloride to afford the corresponding tosylate (IX) which, also without isolation, is condensed with isobutylamine (X) to give (S)-(-)-4-(2-methylpropylamino)-5,6-dihydro-4H-thieno[2,3-b]thiopyran 7,7-dioxide (XI). The reaction of (XI), first with oleum and then with thionyl chloride, yields the corresponding 2-sulfonyl chloride (XII), which is finally treated with aqueous ammonium hydroxide.

参考文献No.900136
标题:Anyiglaucoma thieno-thiopyran and thieno-thiepin sulfonamide derivatives, compositions, and method of use thereof.
作者:Baldwin, J.J.; Christy, M.E.; Ponticello, G.S.
来源:US 4677115
合成路线图解说明:

The reaction of (I) with acetonitrile in sulfuric acid provides the amide (II), which after hydrolysis in 12N HCl/methanol yields the 4-amino derivative (III). Acylation of (III) with isobutyryl chloride followed by reduction with borane-methylsulfide complex gives the racemate (V), MK-927 (2). The resolution of MK-927 is accomplished through the di-p-toluoyl-D-tartaric acid salt.

Drug Information Express,Drug R&D,Chemical Database,Patent Search.
Copyright © 2006-2026 Drug Future. All rights reserved.Contact Us