【药物名称】Sulukast, LY-170680
化学结构式(Chemical Structure):
参考文献No.137092
标题:Sulukast
作者:Wishart, G.; Baker, S.R.; Lucas, R.; Boot, J.R.
来源:Drugs Fut 1991,16(5),432
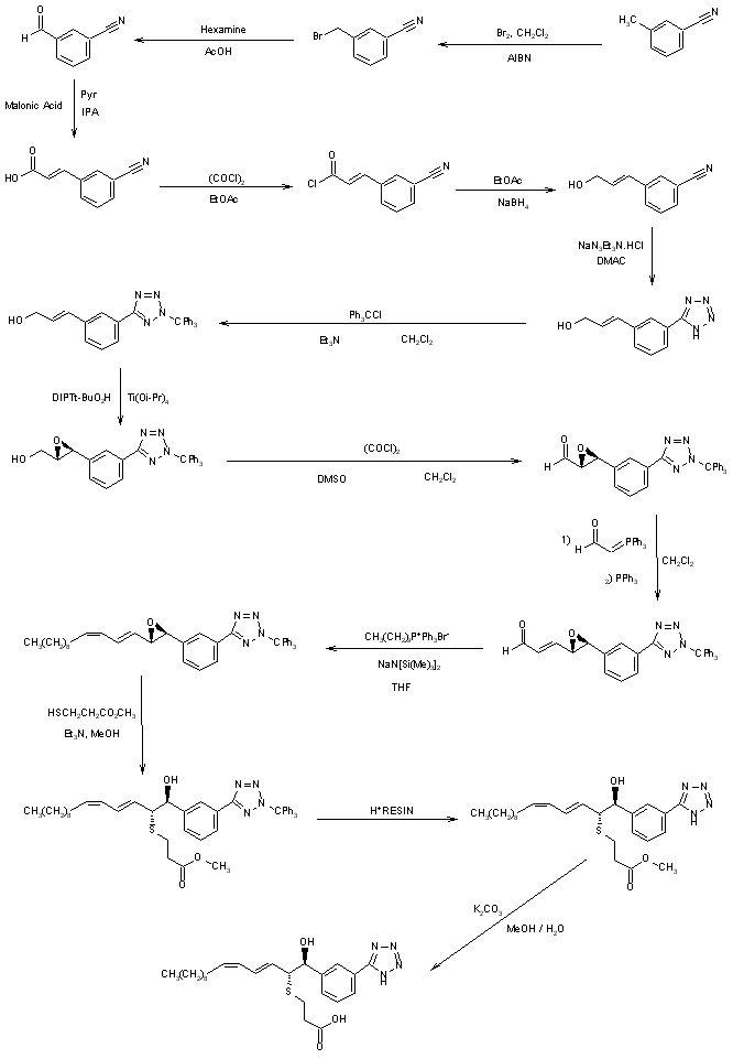
合成路线图解说明:

Free radical bromination of 3-tolunitrile gives 3-cyanobenzyl bromide, which is oxidized with hexamine/acetic acid to 3-cyanobenzaldehyde. A Knoevenagel reaction with malonic acid then gives 3-cyanocinnamic acid, which is reduced to the alcohol via the acid chloride. The tetrazole ring is formed by reaction of the alcohol with sodium azide and triethylamine hydrogen chloride in dimethyl acetamide. This tetrazole group is then protected using trityl chloride and triethylamine in dichloromethane. The key chiral epoxidation is conducted using tert-butyl hydroperoxide and catalytic quantities of diisopropyl L-tartrate and titanium (IV) isopropoxide. A Swern oxidation then gives the aldehyde, which is homolagated to the trans-alpha,beta-unsaturated aldehyde using the formyl methylene ylid. This aldehyde is then reacted at -100 C with the ylid formed from n-decylphosphonium bromide and sodium bis(trimethylsilyl)amide in THF. A base catalyzed Sn2 reaction between the diene epoxide and methyl 3-thiopropionate in methanol gives the protected analogue of LY-170680. Finally, the protecting groups are removed using acid ion exchange resin followed by base hydrolysis in methanol/water. After chromatography LY-170680 is crystallized from acetone/hexane.

Drug Information Express,Drug R&D,Chemical Database,Patent Search.
Copyright © 2006-2026 Drug Future. All rights reserved.Contact Us