【药物名称】BI-L-0093BS, BI-L-93 BS
化学结构式(Chemical Structure):
参考文献No.155161
标题:2,6-Disubstituted-4-(2-arylethenyl)phenol 5-lipoxygenase inhibitors: Development and profile of BI-L-239
作者:Lazer, E.S.; Farina, P.R.; Gundel, R.H.; Wegner, C.D.
来源:Drugs Fut 1991,16(7),641
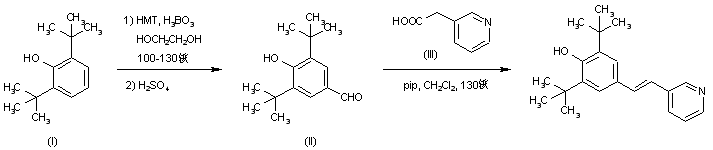
合成路线图解说明:

The reaction of 2,6-di-tert-butyllphenol (I) with hexamethylenetetramine (HMT) and sulfuric acid in ethyleneglycol at 130 C gives 4-hydroxy-3,5-di-tert-butylbenzaldehyde (II), which is finally condensed with 2-(3-pyridyl)acetic acid (III) by means of piperidine in dichloromethane at 130 C.

合成路线图解说明:

The reaction of 2,6-dimethylphenol (I) with hexamethylenetetramine (HMT) and sulfuric acid in ethyleneglycol at 130 C gives 4-hydroxy-3,5-dimethylbenzaldehyde (II), which is finally condensed with 2-(2-thienyl)acetic acid (III) by means of piperidine in dichloromethane at 130 C.

合成路线图解说明:

The reaction of 2,6-dimethylphenol (I) with hexamethylenetetramine (HMT) and sulfuric acid in ethyleneglycol at 130 C gives 4-hydroxy-3,5-dimethylbenzaldehyde (II), which is finally condensed with 2-(4-fluorophenyl)acetic acid (III) by means of piperidine in dichloromethane at 130 C.

Drug Information Express,Drug R&D,Chemical Database,Patent Search.
Copyright © 2006-2026 Drug Future. All rights reserved.Contact Us