【药物名称】Moguisteine, BBR-2173
化学结构式(Chemical Structure):
参考文献No.3822
标题:Antitussive and mucus regulating 2-substituted thiazolidines
作者:Gandolfi, C.A.; Spinelli, S.; Tofanetti, O.; Russo, R.; Tognella, S. (Boehringer Ingelheim Italia SpA)
来源:AU 8545242; EP 0169581; ES 8605249; GB 2164333; GB 2177690; JP 1986063669; US 4857643
合成路线图解说明:

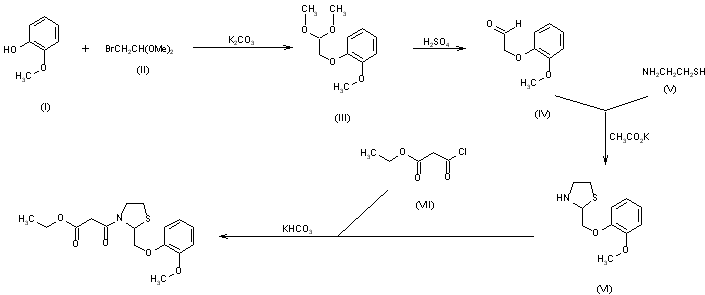
The condensation of 2-methoxyphenol (I) with 2-bromoethanal dimethylacetal (II) by means of K2CO3 in hot DMF gives 2-(2-methoxyphenoxy)ethanal dimethylacetal (III), which is hydrolyzed to the corresponding free aldehyde (IV) with 2N H2SO4 in methanol. The cyclization of (IV) with cysteamine (V) by means of potassium acetate in water affords 2-(2-methoxyphenoxymethyl)thiazolidine (VI), which is finally condensed with ethoxymalonyl chloride (VII) by means of KHCO3 in ethyl acetate.

参考文献No.16703
标题:Beta-carbonyl-carboxyamides of 1,3-thiazolidines
作者:Gandolfi, C.A.; Di Domenico, R.; Spinelli, S.; Lumachi, B.; Gallico, L.; Tognella, S. (Boehringer Ingelheim Italia SpA)
来源:EP 0333080; JP 1991504123; US 5206254
合成路线图解说明:

The condensation of 2-methoxyphenol (I) with 2-bromoethanal dimethylacetal (II) by means of K2CO3 in hot DMF gives 2-(2-methoxyphenoxy)ethanal dimethylacetal (III), which is hydrolyzed to the corresponding free aldehyde (IV) with 2N H2SO4 in methanol. The cyclization of (IV) with cysteamine (V) by means of potassium acetate in water affords 2-(2-methoxyphenoxymethyl)thiazolidine (VI), which is finally condensed with ethoxymalonyl chloride (VII) by means of KHCO3 in ethyl acetate.

参考文献No.142554
标题:Moguisteine
作者:De Angelis, L.
来源:Drugs Fut 1991,16(7),618
合成路线图解说明:

The condensation of 2-methoxyphenol (I) with 2-bromoethanal dimethylacetal (II) by means of K2CO3 in hot DMF gives 2-(2-methoxyphenoxy)ethanal dimethylacetal (III), which is hydrolyzed to the corresponding free aldehyde (IV) with 2N H2SO4 in methanol. The cyclization of (IV) with cysteamine (V) by means of potassium acetate in water affords 2-(2-methoxyphenoxymethyl)thiazolidine (VI), which is finally condensed with ethoxymalonyl chloride (VII) by means of KHCO3 in ethyl acetate.

Drug Information Express,Drug R&D,Chemical Database,Patent Search.
Copyright © 2006-2026 Drug Future. All rights reserved.Contact Us