【药物名称】Adapalene, CD-271, Differin, Differine
化学结构式(Chemical Structure):
参考文献No.10034
标题:Benzonaphthalenic acid derivs., process for their preparation and their use in pharmacy and cosmetics
作者:Shroot, B.; Eustache, J.; Bernardon, J.M. (Laboratoires Galderma SA)
来源:AU 9047961; EP 0199636; US 4717720; US 5098895; US 5183889
合成路线图解说明:

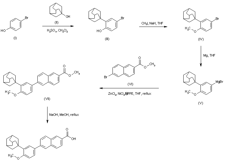
Friedel-Crafts condensation of 4-bromophenol (I) with 1-adamantanol (II) in the presence of H2SO4 yielded the adamantyl phenol (III). Subsequent alkylation of the sodium phenoxide of (III) with iodomethane produced the methyl ether (IV). The Grignard reagent (V), prepared from aryl bromide (IV), was converted to the organozincate derivative, and then subjected to a nickel-catalyzed cross-coupling with methyl 6-bromo-2-naphthoate (VI) to furnish adduct (VII). The target carboxylic acid was finally obtained by saponification of the methyl ester (VII).

参考文献No.61831
标题:Novel tritium marked cpds., its preparation and application for finding of retinoid nuclear receptors
作者:Shroot, B.; Darmon, M. (Laboratoires Galderma SA)
来源:CA 2021550; EP 0409740; FR 2649976; JP 1991063246; US 5073361; US 5149631
合成路线图解说明:

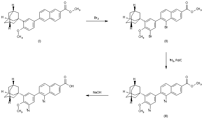
The bromination of 6-[3-(1-adamantyl)-4-methoxyphenyl]-2-naphthoic acid methyl ester (I) with Br2 in dichloromethane gives the dibromo derivative (II), which is hydrogenated with tritium gas over Pd/C in THF containing TEA to yield the bis tritiated ester (III). Finally, ester (III) is hydrolyzed with NaOH in refluxing methanol to afford the target tritiated naphthoic acid.

参考文献No.411679
标题:Synthesis, structure-affinity relationships, and biological activities of ligands binding to retinoic acid receptor subtypes
作者:Charpentier, B.; Bernardon, J.M.; Eustache, J.; Millois, C.; Martin, B.; Michel, S.; Shroot, B.
来源:J Med Chem 1995,38(26),4993
合成路线图解说明:

Friedel-Crafts condensation of 4-bromophenol (I) with 1-adamantanol (II) in the presence of H2SO4 yielded the adamantyl phenol (III). Subsequent alkylation of the sodium phenoxide of (III) with iodomethane produced the methyl ether (IV). The Grignard reagent (V), prepared from aryl bromide (IV), was converted to the organozincate derivative, and then subjected to a nickel-catalyzed cross-coupling with methyl 6-bromo-2-naphthoate (VI) to furnish adduct (VII). The target carboxylic acid was finally obtained by saponification of the methyl ester (VII).

Drug Information Express,Drug R&D,Chemical Database,Patent Search.
Copyright © 2006-2026 Drug Future. All rights reserved.Contact Us