【药物名称】Anastrozole, ZD-1033, ICI-D1033, Arimidex
化学结构式(Chemical Structure):
参考文献No.9562
标题:(Substd. aralkyl)heterocyclic cpds
作者:Edwards, P.N.; Large, M.W. (AstraZeneca plc)
来源:AU 8816911; EP 0296749; JP 1989019067; US 4935437
合成路线图解说明:

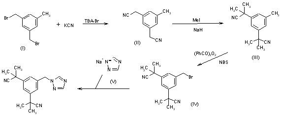
The reaction of alpha,alpha'-dibromomesitylene (I) with potassium cyanide by means of tetrabutylammonium bromide (TBABr) in refluxing dichloromethane water gives 2,2'-(5-methyl-1,3-phenylene)bis(acetonitrile) (II), which is methylated with methyl iodide and NaH in DMF to yield 2,2'-(5-methyl-1,3-phenylene)bis(2-methylpropionitrile) (III). The bromination of (III) with N-bromosuccinimide (NBS) and benzoyl peroxide in CCl4 affords the bromomethyl compound (IV), which is finally condensed with sodium 1,2,4-triazole (V) in DMF.

参考文献No.279991
标题:ZD-1033
作者:Mealy, N.; Prous, J.; Casta馿r, J.
来源:Drugs Fut 1995,20(1),30
合成路线图解说明:

The reaction of alpha,alpha'-dibromomesitylene (I) with potassium cyanide by means of tetrabutylammonium bromide (TBABr) in refluxing dichloromethane water gives 2,2'-(5-methyl-1,3-phenylene)bis(acetonitrile) (II), which is methylated with methyl iodide and NaH in DMF to yield 2,2'-(5-methyl-1,3-phenylene)bis(2-methylpropionitrile) (III). The bromination of (III) with N-bromosuccinimide (NBS) and benzoyl peroxide in CCl4 affords the bromomethyl compound (IV), which is finally condensed with sodium 1,2,4-triazole (V) in DMF.

Drug Information Express,Drug R&D,Chemical Database,Patent Search.
Copyright © 2006-2026 Drug Future. All rights reserved.Contact Us