【药物名称】Pyriferone, BIM-15427
化学结构式(Chemical Structure):
参考文献No.225260
标题:Pyriferone
作者:Kim, S.H.
来源:Drugs Fut 1993,18(11),1009
合成路线图解说明:

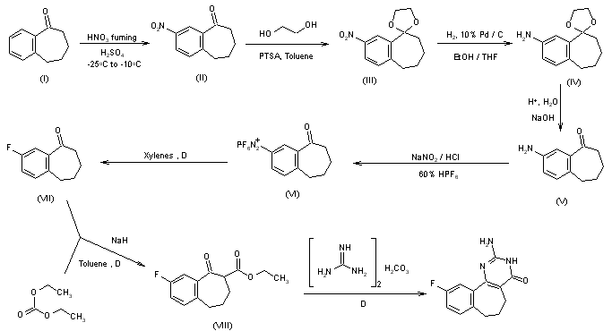
The nitration of benzosuberone (I) with nitric acid in sulfuric acid gives 3-nitrobenzosuberone (II), which is reacted with ethylene glycol in the presence of p-toluenesulfonic acid yielding 3-nitrobenzosuberone ethylene ketal (III). The catalytic reduction of (III) using Pd/C affords 3-aminobenzosuberone ethylene ketal (IV), which is treated with an aqueous acid to give 3-aminobenzosuberone (V). Diazotization followed by hexafluorophosphoric acid treatment of compound (V) affords diazofluorophosphate complex (VI), which on heating gives 3-fluorobenzosuberone (VII). Carbethoxylation of compound (VII) with diethylcarbonate gives the beta-ketoester (VIII), which is reacted with guanidine carbonate yielding compound (IX).

Drug Information Express,Drug R&D,Chemical Database,Patent Search.
Copyright © 2006-2026 Drug Future. All rights reserved.Contact Us