【药物名称】RG-12525
化学结构式(Chemical Structure):
参考文献No.11711
标题:Quinoline derivs. as antagonists of leukotriene D4, compsns. containing the same and processes for their preparation
作者:Huang, F.-C.; Galemmo Jr., R.A.; Campbell, H.F. (Aventis Pharma SA)
来源:EP 0348155; EP 0784052; US 4920131
合成路线图解说明:

A synthesis of RG-12525 has been published: The reaction of 2-methylquinoline (I) with chlorine gas gives 2-(chloromethyl)quinoline (II), which is condensed with an excess of hydroquinone (III) yielding 4-(quinolin-2-ylmethoxy)phenol (IV). The reaction of (IV) with an excess of alpha,alpha'-dichloro-o-xylene (V) affords the monoaddition compound (VI), which is treated with sodium cyanide giving the phenylacetonitrile derivative (VII). Finally, this compound is submitted to cyclization with sodium azide.

参考文献No.117717
标题:Development of a novel series of (2-quinolinylmethoxy)phenyl-containing compounds as high-affinity leukotriene receptor antagonists. 1. Initial structure-activity relationships
作者:Youssefyeh, R.D.; Magnien, E.; Lee, T.D.; Chan, W.K.; Lin, C.J.; Galemmo, R.A.Jr.; Johnson, W.H. Jr.; Tan, J.; Campbell, H.F.; Huang, F.C.; et al.
来源:J Med Chem 1990,33(4),1186
合成路线图解说明:

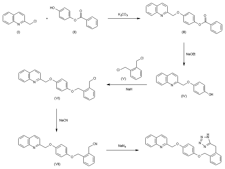
The condensation of 2-(chloromethyl)quinoline (I) with hydroquinone monobenzoate (II) by means of K2CO3 in refluxing acetone/DMF gives 4-(2-quinolylmethoxy)phenyl benzoate (III), which is treated with sodium ethoxide in ethanol to yield 4-(2-quinolylmethoxy)phenol (IV). The condensation of (IV) with alpha,alpha'-dichloro-o-xylene (V) by means of NaH in THF affords the benzyl chloride derivative (VI), which is treated with NaCN in toluene/water with a phase-transfer catalyst to provide the benzyl cyanide derivative (VII). Finally, this compound is cyclized with sodium azide in hot DMF to afford the target tetrazole derivative.

参考文献No.130107
标题:Development of a novel series of (2-quinolinylmethoxy)phenyl-containing compounds as high-affinity leukotriene D4 receptor antagonists. 2. Effects of an additional phenyl ring on receptor affinity
作者:Huang, F.-C.; Galemmo, R.A. Jr.; Johnson, W.H. Jr.; Poli, G.B.; Morrissette, M.M.; Mencel, J.J.; Warus, J.D.; Campbell, H.F.; Nuss, G.W.; Carnathan, G.W.; et al.
来源:J Med Chem 1990,33(4),1194
合成路线图解说明:

The condensation of 2-(chloromethyl)quinoline (I) with hydroquinone monobenzoate (II) by means of K2CO3 in refluxing acetone/DMF gives 4-(2-quinolylmethoxy)phenyl benzoate (III), which is treated with sodium ethoxide in ethanol to yield 4-(2-quinolylmethoxy)phenol (IV). The condensation of (IV) with alpha,alpha'-dichloro-o-xylene (V) by means of NaH in THF affords the benzyl chloride derivative (VI), which is treated with NaCN in toluene/water with a phase-transfer catalyst to provide the benzyl cyanide derivative (VII). Finally, this compound is cyclized with sodium azide in hot DMF to afford the target tetrazole derivative.

参考文献No.161265
标题:(2-Quinolinylmethoxy)phenyl-containing compounds as leukotriene receptor antagonists: A brief review of structure-activity relationships and the biological profile of RG 12525
作者:Huang, F.-C.
来源:Drugs Fut 1991,16(12),1121
合成路线图解说明:

The condensation of 2-(chloromethyl)quinoline (I) with hydroquinone monobenzoate (II) by means of K2CO3 in refluxing acetone/DMF gives 4-(2-quinolylmethoxy)phenyl benzoate (III), which is treated with sodium ethoxide in ethanol to yield 4-(2-quinolylmethoxy)phenol (IV). The condensation of (IV) with alpha,alpha'-dichloro-o-xylene (V) by means of NaH in THF affords the benzyl chloride derivative (VI), which is treated with NaCN in toluene/water with a phase-transfer catalyst to provide the benzyl cyanide derivative (VII). Finally, this compound is cyclized with sodium azide in hot DMF to afford the target tetrazole derivative.

参考文献No.400541
标题:Approaches to p-hydroxyphenoxymethylquinolines which avoid intermediate chloromethylquinolines for the synthesis of the LTD4 antagonist, RG 12525
作者:O'Brien, M.; Sledeski, A.W.; Truesdale, L.K.
来源:Tetrahedron Lett 1997,38(4),509
合成路线图解说明:

A synthesis of RG-12525 has been published: The reaction of 2-methylquinoline (I) with chlorine gas gives 2-(chloromethyl)quinoline (II), which is condensed with an excess of hydroquinone (III) yielding 4-(quinolin-2-ylmethoxy)phenol (IV). The reaction of (IV) with an excess of alpha,alpha'-dichloro-o-xylene (V) affords the monoaddition compound (VI), which is treated with sodium cyanide giving the phenylacetonitrile derivative (VII). Finally, this compound is submitted to cyclization with sodium azide.

参考文献No.605992
标题:The process development of RG 12525 (2-'{[4-(tetrazol-5-ylmethylphenyl)-methoxy]phenoxymethyl}quinoline)
作者:Bridge, A.W.; et al.
来源:Org Process Res Dev 2001,5(1),9
合成路线图解说明:

A synthesis of RG-12525 has been published: The reaction of 2-methylquinoline (I) with chlorine gas gives 2-(chloromethyl)quinoline (II), which is condensed with an excess of hydroquinone (III) yielding 4-(quinolin-2-ylmethoxy)phenol (IV). The reaction of (IV) with an excess of alpha,alpha'-dichloro-o-xylene (V) affords the monoaddition compound (VI), which is treated with sodium cyanide giving the phenylacetonitrile derivative (VII). Finally, this compound is submitted to cyclization with sodium azide.

参考文献No.606230
标题:A convergent synthesis of an LTD4 antagonist, RG12525
作者:Sledeski, A.W.; et al.
来源:Tetrahedron Lett 1997,38(7),1129
合成路线图解说明:

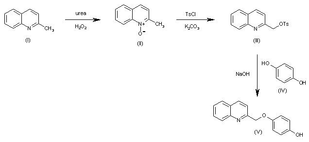
Synthesis of intermediate 4-(2-quinolinylmethoxy)phenol (V): The oxidation of 2-methylquinoline with urea and H2O2 in dichloromethane gives the N-oxide (II), which is treated with TsCl and K2CO3 in acetonitrile to yield the tosylate (III). Finally this compound is condensed with an excess of hydroquinone by means of NaOH in methanol/acetonitrile to afford the target intermediate (V).

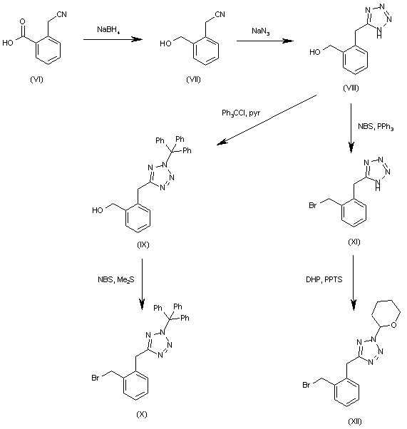
合成路线图解说明:

Synthesis of intermediate 5-[2-(bromomethyl)benzyl]-2-(triphenylmethyl)-2H-tetrazole (X): The reduction of 2-(cyanomethyl)benzoic acid (VI) with I2 and NaBH4 in THF gives 2-(cyanomethyl)benzyl alcohol (VII), which is cyclized with NaN3 and TEA in hot N-methylpyrrolidinone to yield 2-(1H-tetrazol-5-ylmethyl)benzyl alcohol (VIII). The reaction of (VIII) with trityl chloride and pyridine in dichloromethane affords the trityl protected compound (IX), which is finally brominated to the target intermediate (X) with NBS and Me2S in dichloromethane. Synthesis of intermediate 5-[2-(bromomethyl)benzyl]-2-(tetrahydropyran-2-yl)-2H-tetrazole (XII): The reaction of 2-(1H-tetrazol-5-ylmethyl)benzyl alcohol (VIII) with NBS and PPh3 in THF gives the 2-(1H-tetrazol-5-ylmethyl)benzyl bromide (XI), which is finally treated with dihydropyran (DHP) and pyridinium p-toluenesulfonate (PPTS) to yield the tetrahydropyranyl protected target intermediate (XII).

合成路线图解说明:

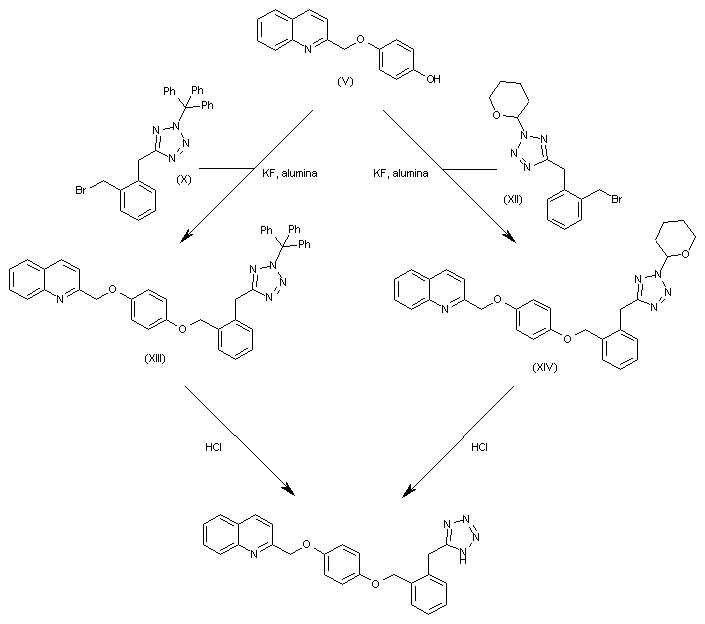
Synthesis of the target compound 147690: This compound has been obtained by two similar ways: 1. The condensation of intermediate 4-(2-quinolinylmethoxy)phenol (V) with intermediate 5-[2-(bromomethyl)benzyl]-2-(triphenylmethyl)-2H-tetrazole (X) by means of KF/alumina in acetonitrile gives the adduct (XIII), which is finally deprotected to the target compound by means of HCl in methanol/THF. 2. The condensation of intermediate 4-(2-quinolinylmethoxy)phenol (V) with intermediate 5-[2-(bromomethyl)benzyl]-2-(tetrahydropyran-2-yl)-2H-tetrazole (XII) by means of KF/alumina in acetonitrile gives the adduct (XIV), which is finally deprotected to the target compound by means of HCl in methanol/THF.

Drug Information Express,Drug R&D,Chemical Database,Patent Search.
Copyright © 2006-2026 Drug Future. All rights reserved.Contact Us