【药物名称】FS-205-397
化学结构式(Chemical Structure):
参考文献No.9853
标题:3,3-Dialkyl and 3,3-alkylene-indoline derivs., process for their preparation and pharmaceutical compsns. Containing them
作者:Achini, R. (Novartis Deutschland GmbH)
来源:DE 3300522
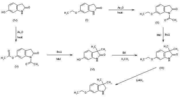
合成路线图解说明:

FS-205-397 can be obtained by two related ways: 1) The acetylation of 6-ethoxyindolin-2-one (I) with refluxing acetic anhydride gives 1-acetyl-6-ethoxyindolin-2-one (II), which is methylated with methyliodide and butyllithium in HMPT to yield 6-ethoxy-3,3-dimethylindolin-2-one (III). Finally, this compound is reduced with LiAlH4 in THF. 2) The acetylation of 6-hydroxyindolin-2-one (IV) with refluxing acetic anhydride gives 6-acetoxy-1-acetylindolin-2-one (V), which is methylated as before, affording 6-hydroxy-3,3-dimethylindolin-2-one (VI). Finally, this compound is ethylated with ethyl iodide and K2CO3 in refluxing acetone to give the indolinone (III), already obtained.

参考文献No.167154
标题:FS-205-397
作者:Casta馿r, J.; Prous, J.
来源:Drugs Fut 1992,17(3),185
合成路线图解说明:

FS-205-397 can be obtained by two related ways: 1) The acetylation of 6-ethoxyindolin-2-one (I) with refluxing acetic anhydride gives 1-acetyl-6-ethoxyindolin-2-one (II), which is methylated with methyliodide and butyllithium in HMPT to yield 6-ethoxy-3,3-dimethylindolin-2-one (III). Finally, this compound is reduced with LiAlH4 in THF. 2) The acetylation of 6-hydroxyindolin-2-one (IV) with refluxing acetic anhydride gives 6-acetoxy-1-acetylindolin-2-one (V), which is methylated as before, affording 6-hydroxy-3,3-dimethylindolin-2-one (VI). Finally, this compound is ethylated with ethyl iodide and K2CO3 in refluxing acetone to give the indolinone (III), already obtained.

Drug Information Express,Drug R&D,Chemical Database,Patent Search.
Copyright © 2006-2026 Drug Future. All rights reserved.Contact Us