【药物名称】Dexniguldipine hydrochloride, (R)-Niguldipine hydrochloride, BY-935, B8509-035, B-844-39(racemate), B-859-34 [(-)-(S)-isomer], B-859-35
化学结构式(Chemical Structure):
参考文献No.9487
标题:1,4-Dihydropyridine enantiomers
作者:Amschler, H.; Flockerzi, D.; Klemm, K.; Kohl, B.; Eistetter, K.; Eltze, M.; Kolassa, N.; Sanders, K.; Schudt, C. (Byk Gulden Lomberg Chemische Fabrik GmbH)
来源:AU 8816264; EP 0296316; EP 0343193; WO 8807525
合成路线图解说明:

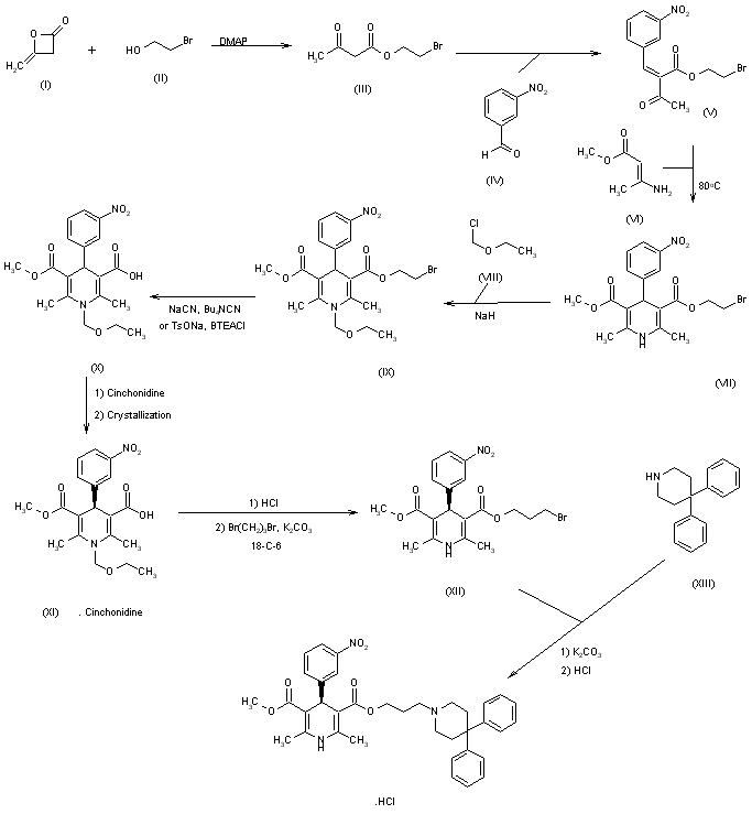
The reaction of diketene (I) with 2-bromoethanol (II) by means of dimethylaminopyridine (DMAP) in dichloromethane gives acetoacetic acid 2-bromoethyl ester (III), which is condensed with 3-nitrobenzaldehyde (IV) by means of piperidine acetate in isopropanol yielding the corresponding 3-nitrobenzylidene derivative (V). The cyclization of (V) with methyl 3-aminocrotonate (VI) by heating at 80 C affords 2,6-dimethyl-4-(3-nitrophenyl)-1,4-dihydropyridine-3,5-dicarboxylic acid 3-(2-bromoethyl) 5-methyl diester (VII), which is condensed with chloromethyl ethyl ether (VIII) by means of NaH in THF to afford the corresponding 1-ethoxymethyl derivative (IX). The reaction of diester (IX) with NaCN and tetrabutylammonium cyanide or sodium p-toluenesulfonate and benzyltriethylammonium chloride (BTEACl) in DMF gives 1-(ethoxymethyl)-2,6-dimethyl-4-(3-nitrophenyl)-1,4-dihydropyridine-3,5-dicarboxylic acid monomethyl ester (X). The optical resolution of (X) through the cinchonidine salt yields, after crystallization, the cinchonidine salt of the (R)-enantiomer (XI), which is treated with HCl to eliminate the cinchonidine, and esterified with 1,3-dibromopropane and K2CO3 in acetone to afford (R)-2,6-dimethyl-4-(3-nitrophenyl)-1,4-dihydropyridine-3,5-dicarboxylic acid 3-(3-bromopropyl) 5-methyl diester (XII). Finally, this compound is condensed with 4,4-diphenylpiperidine (XIII) by means of K2CO3 in DMF at 100 C.

参考文献No.16736
标题:Optically pure (R)-(-)-niguldipine and its derivs. for treating tumor diseases
作者:Klemm, K.; Ulrich, W.-R.; Flockerzi, D.; Sanders, K.; Beller, K.-D. (Byk Gulden Lomberg Chemische Fabrik GmbH)
来源:WO 8907443
合成路线图解说明:

The reaction of diketene (I) with 2-bromoethanol (II) by means of dimethylaminopyridine (DMAP) in dichloromethane gives acetoacetic acid 2-bromoethyl ester (III), which is condensed with 3-nitrobenzaldehyde (IV) by means of piperidine acetate in isopropanol yielding the corresponding 3-nitrobenzylidene derivative (V). The cyclization of (V) with methyl 3-aminocrotonate (VI) by heating at 80 C affords 2,6-dimethyl-4-(3-nitrophenyl)-1,4-dihydropyridine-3,5-dicarboxylic acid 3-(2-bromoethyl) 5-methyl diester (VII), which is condensed with chloromethyl ethyl ether (VIII) by means of NaH in THF to afford the corresponding 1-ethoxymethyl derivative (IX). The reaction of diester (IX) with NaCN and tetrabutylammonium cyanide or sodium p-toluenesulfonate and benzyltriethylammonium chloride (BTEACl) in DMF gives 1-(ethoxymethyl)-2,6-dimethyl-4-(3-nitrophenyl)-1,4-dihydropyridine-3,5-dicarboxylic acid monomethyl ester (X). The optical resolution of (X) through the cinchonidine salt yields, after crystallization, the cinchonidine salt of the (R)-enantiomer (XI), which is treated with HCl to eliminate the cinchonidine, and esterified with 1,3-dibromopropane and K2CO3 in acetone to afford (R)-2,6-dimethyl-4-(3-nitrophenyl)-1,4-dihydropyridine-3,5-dicarboxylic acid 3-(3-bromopropyl) 5-methyl diester (XII). Finally, this compound is condensed with 4,4-diphenylpiperidine (XIII) by means of K2CO3 in DMF at 100 C.

参考文献No.393107
标题:Dexniguldipine hydrochloride
作者:Robinson, K.A.; Robinson, C.P.; Casta馿r, J.
来源:Drugs Fut 1997,22(2),114
合成路线图解说明:

The reaction of diketene (I) with 2-bromoethanol (II) by means of dimethylaminopyridine (DMAP) in dichloromethane gives acetoacetic acid 2-bromoethyl ester (III), which is condensed with 3-nitrobenzaldehyde (IV) by means of piperidine acetate in isopropanol yielding the corresponding 3-nitrobenzylidene derivative (V). The cyclization of (V) with methyl 3-aminocrotonate (VI) by heating at 80 C affords 2,6-dimethyl-4-(3-nitrophenyl)-1,4-dihydropyridine-3,5-dicarboxylic acid 3-(2-bromoethyl) 5-methyl diester (VII), which is condensed with chloromethyl ethyl ether (VIII) by means of NaH in THF to afford the corresponding 1-ethoxymethyl derivative (IX). The reaction of diester (IX) with NaCN and tetrabutylammonium cyanide or sodium p-toluenesulfonate and benzyltriethylammonium chloride (BTEACl) in DMF gives 1-(ethoxymethyl)-2,6-dimethyl-4-(3-nitrophenyl)-1,4-dihydropyridine-3,5-dicarboxylic acid monomethyl ester (X). The optical resolution of (X) through the cinchonidine salt yields, after crystallization, the cinchonidine salt of the (R)-enantiomer (XI), which is treated with HCl to eliminate the cinchonidine, and esterified with 1,3-dibromopropane and K2CO3 in acetone to afford (R)-2,6-dimethyl-4-(3-nitrophenyl)-1,4-dihydropyridine-3,5-dicarboxylic acid 3-(3-bromopropyl) 5-methyl diester (XII). Finally, this compound is condensed with 4,4-diphenylpiperidine (XIII) by means of K2CO3 in DMF at 100 C.

Drug Information Express,Drug R&D,Chemical Database,Patent Search.
Copyright © 2006-2026 Drug Future. All rights reserved.Contact Us