【药物名称】D-19050
化学结构式(Chemical Structure):
参考文献No.95995
标题:D-19050
作者:Engel, J.; Emig, P.; Szelenyi, I.; Nickel, B.; Weischer, K.H.
来源:Drugs Fut 1989,14(6),511
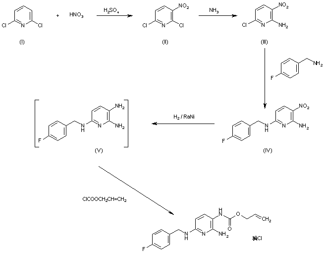
合成路线图解说明:

D-19050 can be obtained in a 5-step synthesis starting from 2,6-dichloropyridine (I): Compound (I) is nitrated with HNO3/H2SO4 yielding 2,6-dichloro-3-nitropyridine (II). Subsequent reaction with ammonia and 4-fluorobenzylamine leads to 2-amino-3-nitro-6-(4-fluorobenzylamino)pyridine (IV), which is hydrogenated using Raney Nickel as catalyst to the corresponding 3-amino derivative (V). This is not isolated, but reacted with (prop-1-en-3-yl)chloroformate to give D-19050.

Drug Information Express,Drug R&D,Chemical Database,Patent Search.
Copyright © 2006-2026 Drug Future. All rights reserved.Contact Us