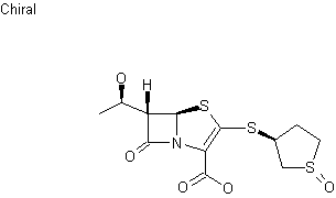
【药物名称】Sulopenem, CP-65207-S, CP-70429
化学结构式(Chemical Structure):
参考文献No.12875
标题:Diastereomeric 5R,6S-6-(1R-hydroxyethyl)-2-(cis-1-oxo-3-thiolanylthio)-2-penem-3-carboxylic acids
作者:Volkmann, R.A. (Pfizer Inc.)
来源:JP 1995278137; US 5013729; WO 8808845
合成路线图解说明:

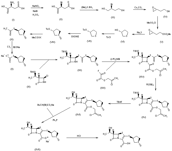
1) The reaction of L-aspartic acid (I) with NaNO2, NaBr and H2SO4 gives 2(S)-bromosuccinic acid (II), which is reduced with methyl sulfide borane complex in THF, yielding 2(S)-bromobutane-1,4-diol (III). The cyclization of (III) with Cs2CO3 in methylene chloride affords (R)-(2-hydroxyethyl)oxirane (IV), which is acylated with methanesulfonyl chloride to the corresponding mesylate (V). The cyclization of (V) with Na2S in acetonitrile/water gives 3(R)-hydroxythiolane (VI), which is acylated with p-toluenesulfonyl chloride, affording the corresponding tosylate (VII). The controlled oxidation of (VII) with potassium peroxymonosulfate (oxone) gives 3(R)-(p-toluenesulfonyloxy)thiolane-1(R)-oxide (VIII), which by reaction with potassium thioacetate in acetone is converted to 3(S)-(acetylthio)thiolane 1(R)-oxide (IX). The reaction of (IX) with NaOEt and CS2 in ethanol yields the trithiocarbonate (X), which is condensed with the chloroazetidinone (XI), yielding the trithiocarbonate ester (XII). The condensation of (XII) with 2-chloroallyloxalyl fluoride (XIII) by means of diisopropylethylamine in methylene chloride affords the substituted oxalamic ester (XIV), which is cyclized by means of triethyl phosphite in refluxing chloroform to the fully protected penem derivative (XV). The reaction of (XV) with tetrabutylammonium fluoride (TBAF) in THF eliminates the protecting tert-butyldimethylsilyl group, yielding the chloroallyl ester (XVI), which is treated with triphenylphosphine and sodium 2-ethylhexanoate in dichloromethane to obtain the corresponding sodium salt (XVII). Finally, this compound is treated with HCl in cool water.

参考文献No.32685
标题:Process for optically active 3-thiolanyl sulfonate esters
作者:Volkmann, R.A. (Pfizer Inc.)
来源:US 4921972
合成路线图解说明:

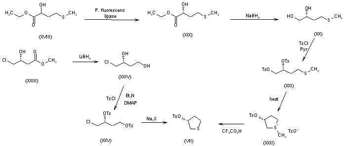
2) The intermediate 3(R)-(p-toluenesulfonyloxy)thiolane (VII) can be obtained by two other synthetic pathways: a) The racemic 2-hydroxy-4-(methylsulfanyl)butyric acid ethyl ester (XVIII) is submitted to optical resolution with Pseudomonas fluorescens lipase in toluene/water, yielding the corresponding 2(R)-hydroxy ester (XIX), which is reduced with NaBH4 in THF/water to afford 4-(methylsulfanyl)butane-1,2(R)-diol (XX). The acylation of (XX) with p-toluenesulfonyl chloride and pyridine yields the ditosylate (XXI), which is cyclized in refluxing benzene to give 1(R)-methyl-3(R)-(p-toluenesulfonyloxy)thiolanium p-toluenesulfonate (XXII). Finally, this compound is treated with trifluoroacetic acid in pyridine to afford the thiolane (VII), already described. b) The reduction of 4-chloro-3(R)-hydroxybutyric acid methyl ester (XXIII) with lithium borohydride in THF gives 4-chlorobutane-1,3(R)-diol (XXIV), which is tosylated as before, yielding the bis(tosyloxy) derivative (XXV). Finally, this compound is cyclized with Na2S in hot acetonitrile/water to afford the thiolane (VII), already described.

参考文献No.190656
标题:2-Thioalkyl penems: An efficient synthesis of sulopenem, a (5R,6S)-6-(1(R)-hydroxyethyl)-2-[(cis-1-oxo-3-thiolanyl)thio]-2-penem antibacterial
作者:Volkmann, R.A.; Kelbaugh, P.R.; Nason, D.M.; Jasys, V.J.
来源:J Org Chem 1992,57(16),4352-61
合成路线图解说明:

1) The reaction of L-aspartic acid (I) with NaNO2, NaBr and H2SO4 gives 2(S)-bromosuccinic acid (II), which is reduced with methyl sulfide borane complex in THF, yielding 2(S)-bromobutane-1,4-diol (III). The cyclization of (III) with Cs2CO3 in methylene chloride affords (R)-(2-hydroxyethyl)oxirane (IV), which is acylated with methanesulfonyl chloride to the corresponding mesylate (V). The cyclization of (V) with Na2S in acetonitrile/water gives 3(R)-hydroxythiolane (VI), which is acylated with p-toluenesulfonyl chloride, affording the corresponding tosylate (VII). The controlled oxidation of (VII) with potassium peroxymonosulfate (oxone) gives 3(R)-(p-toluenesulfonyloxy)thiolane-1(R)-oxide (VIII), which by reaction with potassium thioacetate in acetone is converted to 3(S)-(acetylthio)thiolane 1(R)-oxide (IX). The reaction of (IX) with NaOEt and CS2 in ethanol yields the trithiocarbonate (X), which is condensed with the chloroazetidinone (XI), yielding the trithiocarbonate ester (XII). The condensation of (XII) with 2-chloroallyloxalyl fluoride (XIII) by means of diisopropylethylamine in methylene chloride affords the substituted oxalamic ester (XIV), which is cyclized by means of triethyl phosphite in refluxing chloroform to the fully protected penem derivative (XV). The reaction of (XV) with tetrabutylammonium fluoride (TBAF) in THF eliminates the protecting tert-butyldimethylsilyl group, yielding the chloroallyl ester (XVI), which is treated with triphenylphosphine and sodium 2-ethylhexanoate in dichloromethane to obtain the corresponding sodium salt (XVII). Finally, this compound is treated with HCl in cool water.

参考文献No.366078
标题:Sulopenem
作者:Mealy, N.; Casta馿r, J.
来源:Drugs Fut 1996,21(7),706
合成路线图解说明:

1) The reaction of L-aspartic acid (I) with NaNO2, NaBr and H2SO4 gives 2(S)-bromosuccinic acid (II), which is reduced with methyl sulfide borane complex in THF, yielding 2(S)-bromobutane-1,4-diol (III). The cyclization of (III) with Cs2CO3 in methylene chloride affords (R)-(2-hydroxyethyl)oxirane (IV), which is acylated with methanesulfonyl chloride to the corresponding mesylate (V). The cyclization of (V) with Na2S in acetonitrile/water gives 3(R)-hydroxythiolane (VI), which is acylated with p-toluenesulfonyl chloride, affording the corresponding tosylate (VII). The controlled oxidation of (VII) with potassium peroxymonosulfate (oxone) gives 3(R)-(p-toluenesulfonyloxy)thiolane-1(R)-oxide (VIII), which by reaction with potassium thioacetate in acetone is converted to 3(S)-(acetylthio)thiolane 1(R)-oxide (IX). The reaction of (IX) with NaOEt and CS2 in ethanol yields the trithiocarbonate (X), which is condensed with the chloroazetidinone (XI), yielding the trithiocarbonate ester (XII). The condensation of (XII) with 2-chloroallyloxalyl fluoride (XIII) by means of diisopropylethylamine in methylene chloride affords the substituted oxalamic ester (XIV), which is cyclized by means of triethyl phosphite in refluxing chloroform to the fully protected penem derivative (XV). The reaction of (XV) with tetrabutylammonium fluoride (TBAF) in THF eliminates the protecting tert-butyldimethylsilyl group, yielding the chloroallyl ester (XVI), which is treated with triphenylphosphine and sodium 2-ethylhexanoate in dichloromethane to obtain the corresponding sodium salt (XVII). Finally, this compound is treated with HCl in cool water.

合成路线图解说明:

2) The intermediate 3(R)-(p-toluenesulfonyloxy)thiolane (VII) can be obtained by two other synthetic pathways: a) The racemic 2-hydroxy-4-(methylsulfanyl)butyric acid ethyl ester (XVIII) is submitted to optical resolution with Pseudomonas fluorescens lipase in toluene/water, yielding the corresponding 2(R)-hydroxy ester (XIX), which is reduced with NaBH4 in THF/water to afford 4-(methylsulfanyl)butane-1,2(R)-diol (XX). The acylation of (XX) with p-toluenesulfonyl chloride and pyridine yields the ditosylate (XXI), which is cyclized in refluxing benzene to give 1(R)-methyl-3(R)-(p-toluenesulfonyloxy)thiolanium p-toluenesulfonate (XXII). Finally, this compound is treated with trifluoroacetic acid in pyridine to afford the thiolane (VII), already described. b) The reduction of 4-chloro-3(R)-hydroxybutyric acid methyl ester (XXIII) with lithium borohydride in THF gives 4-chlorobutane-1,3(R)-diol (XXIV), which is tosylated as before, yielding the bis(tosyloxy) derivative (XXV). Finally, this compound is cyclized with Na2S in hot acetonitrile/water to afford the thiolane (VII), already described.

参考文献No.368973
标题:Synthesis of optically active 3(R)-[(alkylsulfonyl)oxy]thiolanes from 2(R)-hydroxy-4-(methylthio)butanoic acid or D-methionine
作者:Urban, F.J.; Breitenbach, R.; Vincent, L.A.
来源:J Org Chem 1990,55(11),3670-2
合成路线图解说明:

2) The intermediate 3(R)-(p-toluenesulfonyloxy)thiolane (VII) can be obtained by two other synthetic pathways: a) The racemic 2-hydroxy-4-(methylsulfanyl)butyric acid ethyl ester (XVIII) is submitted to optical resolution with Pseudomonas fluorescens lipase in toluene/water, yielding the corresponding 2(R)-hydroxy ester (XIX), which is reduced with NaBH4 in THF/water to afford 4-(methylsulfanyl)butane-1,2(R)-diol (XX). The acylation of (XX) with p-toluenesulfonyl chloride and pyridine yields the ditosylate (XXI), which is cyclized in refluxing benzene to give 1(R)-methyl-3(R)-(p-toluenesulfonyloxy)thiolanium p-toluenesulfonate (XXII). Finally, this compound is treated with trifluoroacetic acid in pyridine to afford the thiolane (VII), already described. b) The reduction of 4-chloro-3(R)-hydroxybutyric acid methyl ester (XXIII) with lithium borohydride in THF gives 4-chlorobutane-1,3(R)-diol (XXIV), which is tosylated as before, yielding the bis(tosyloxy) derivative (XXV). Finally, this compound is cyclized with Na2S in hot acetonitrile/water to afford the thiolane (VII), already described.

Drug Information Express,Drug R&D,Chemical Database,Patent Search.
Copyright © 2006-2026 Drug Future. All rights reserved.Contact Us