【药物名称】Genaconazole, SM-9164(RR-isomer), Sch-42426(SS-isomer), Sch-42427(RR-isomer), Sch-39304, SM-8668
化学结构式(Chemical Structure):
参考文献No.181622
标题:Synthesis of SCH 42427 labelled with 14C in two different positions
作者:Koharski, D.; Saluja, S.; Hesk, D.; Bowlen, C.; Duelfer, T.; McNamara, P.
来源:J Label Compd Radiopharm 1992,31(6),445
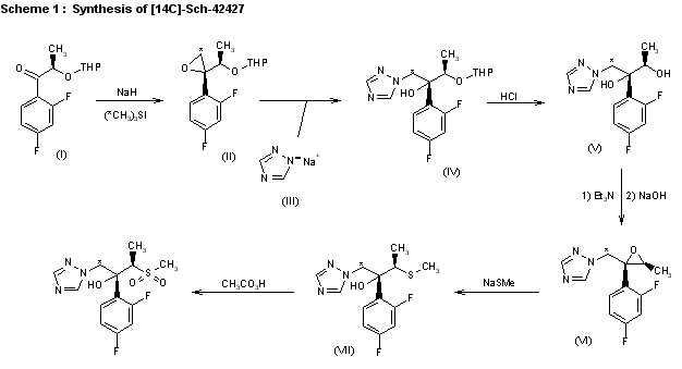
合成路线图解说明:

The synthesis of [14C]-labeled Sch-42427 labeled in two different positions, i.e., threo-2(R)-(2,4-difluorophenyl)-3(R)-(methylsulfonyl)-1-(1H-1,2,4-triaz ol-1-yl)[1-14C]-butan-2-ol and threo-2(R)-(2,4-difluorophenyl)-3(R)-[[14C]-methylsulfonyl]-1-(1H-1,2,4-triazol-1-yl)butan-2-ol, has been reported: The condensation of 2,4-difluoro-alpha-(tetrahydroypranyloxy)propiophenone (I) with [14C]-trimethylsulfoxonium iodide by means of NaH in DMSO yields the labeled epoxide (II), which is condensed with sodium 1,2,4-triazole (III) in hot DMF yielding 2-(2,4-difluorophenyl)-3-(tetrahydropyranyloxy)-1-(1,2,4-triazol-1-yl)b utan-2-ol (IV). The acidic hydrolysis of (IV) affords the diol (V), which is cyclized to the epoxide (VI) with triethylamine and NaOH. Ring opening of (VI) with sodium methylmercaptane in methanol gives the thio ether (VII), which is finally oxidized with peracetic acid in dichloromethane (scheme 14695202a).

合成路线图解说明:

The ring opening of epoxide (I) [the unlabeled epoxide (VI) of the previous synthesis (scheme 14695202a)] with [14C]-labeled sodium methylmercaptane in methanol gives the thio ether (II), which is then oxidized with H2O2 and sodium tungstate in methanol.

参考文献No.191492
标题:Synthesis of the antifungal agent SCH 42427 (SM 9164)
作者:Girijavallabhan, V.M.; Pinto, P.A.; Ganguly, A.K.; Sarre, O.Z.
来源:Bioorg Med Chem Lett 1992,1(7),349
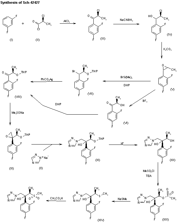
合成路线图解说明:

A synthesis of Sch-42427, the active (RR)-enantiomer of Sch-39304, has been published: The condensation of 1,3-difluorobenzene (I) with (S)-2-chloropropionyl chloride (II) by means of AlCl3 gives 2(S)-chloro-1-(2,4-difluorophenyl)-1-propanone (III), which is reduced with NaCNBH3 to the corresponding alcohol (IV). Epoxidation of (IV) with K2CO3 in methanol yields the chiral epoxide (V). The oxidative opening of (V) by means of BF3 in DMSO affords (R)-1-(2,4-difluorophenyl)-2-hydroxypropanone (VI), which is protected with dihydropyran (DHP) and p-toluenesulfonic acid to the tetrahydropyranyl ether (VIII). Alternatively, the treatment of (V) with trimethylsilyl bromide and dihydropyran gives the (R)-bromo-tetrahydropyranyl ether (VII), which can be oxidized to (VIII) with silver benzoate. The reaction of (VIII) with sodium dimethylsulfoxonium methylide in THF gives the epoxide (IX), which is opened with sodium 1,2,4-triazole (X) to yield the semi-protected diol (XI). Hydrolysis of (XI) in acidic medium affords the diol (XII), which is treated with methanesulfonyl chloride and triethylamine to afford the mono methanesulfonyl ester (XIII). The reaction of (XIII) with sodium methyl mercaptane gives the thioether (XIV), which is finally oxidized with peracetic acid.

参考文献No.281709
标题:A rational approach to chiral alpha-hydroxy aryl ketones from chiral aryl epoxides via regioselective, stereo retentive oxidative epoxide opening: Its application to the synthesis of antifungal Sch 42427/SM 9164
作者:Gala, D.; DiBenedetto, D.J.
来源:Tetrahedron Lett 1994,35(45),8299
合成路线图解说明:

A synthesis of Sch-42427/SM-9164, the active (RR)-enantiomer of Sch-39304, has been reported: The reaction of the chiral epoxide 2-(2,4-difluorophenyl)-3(R)-methyloxirane (I) with trimethylsilyltriflate (TMSOTf) or tert-butyldimethylsilyl triflate (TBDMSOTf) yields compound (II) or (III), respectively; the acidic hydrolysis of both compounds affords the chiral ketol (IV), which is protected with dihydropyran (DHP) to give the tetrahydropyranyl ether (V). The regioselective reaction of (V) with trimethylsulfonium iodide and NaH in THF affords the chiral oxirane (VI), which is treated with sodium 1,2,4-triazole (VII) in DMF to afford the (R,R)-diol (VIII). Finally, this compound is partially esterified with methanesulfonyl chloride, treated with methylmercaptane, and finally oxidized with peracetic acid.

参考文献No.309919
标题:Synthesis and antifungal activities of optically active isomers of SM-8668
作者:Tanio, T.; Miyauchi, H.; Ohashi, N.
来源:Bioorg Med Chem Lett 1995,5(9),933
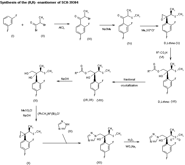
合成路线图解说明:

A new synthesis of the active (R,R)-isomer of SM-8668 has been reported: The Friedel-Crafts condensation of 1,3-difluorobenzene (I) with 2-bromopropionyl bromide (II) by means of AlCl3 gives the corresponding propiophenone (III), which is treated with sodium methylmercaptide to yield 2',4'-difluoro-2-(methylsulfanyl)propiophenone (IV). The reaction of (IV) with trimethylsulfoxonium chloride affords the epoxide (V) as a D,L-threo-mixture of isomers, which is treated with a chiral carboxylic acid (VI), giving the diastereomeric mixture of esters (VII). The separation of the isomers by column chromatography or fractional crystallization affords the (2R,3R)-isomer (VIII), which by hydrolysis with NaOH is converted to the diol (IX). The epoxidation of the diol (IX) with mesyl chloride, NaOH and benzyltriethylammonium chloride yields the (2R,3R)-epoxide (X), which is condensed with 1,2,4-triazole (XI) by means of NaOH to give the precursor (XII). Finally, this compound is oxidized with H2O2 and sodium tungstate.

Drug Information Express,Drug R&D,Chemical Database,Patent Search.
Copyright © 2006-2026 Drug Future. All rights reserved.Contact Us