【药物名称】FR-110302
化学结构式(Chemical Structure):
参考文献No.477002
标题:Studies on 5-lipoxygenase inhibitors. II. Discovery, optical resolution and enantioselective synthesis of FR110302, a highly potent non-redox type 5-lipoxygenase inhibitor
作者:Yatabe, T.; Kayakiri, H.; Kawai, Y.; Oku, T.; Tanaka, H.
来源:Chem Pharm Bull 1998,46(10),1556
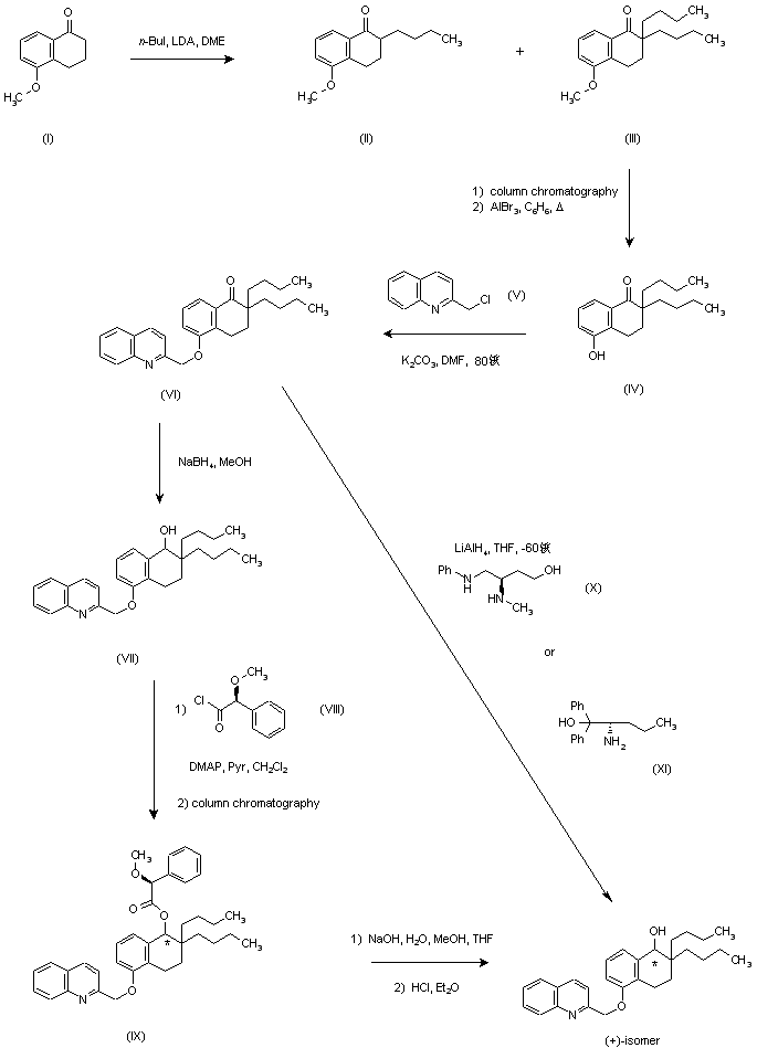
合成路线图解说明:

Alkylation of 5-methoxytetralone (I) with n-butyl iodide in the presence of lithium diisopropylamide (LDA) in dimethoxyethane afforded a mixture of mono- (II) and dialkylated (III) compounds that were separated by column chromatography. Hydrolysis of methoxy group of (III) by treatment with AlBr3 in refluxing benzene yielded phenol (IV), which was converted to ether (VI) by treatment with 2-(chloromethyl)quinoline (V) and K2CO3. The reduction of ketone (VI) with NaBH4 in MeOH provided racemic alcohol (VII). Resolution of racemate (VII) was performed by esterification with (S)-O-methylmandeloyl chloride (VIII), followed by chromatographic separation of the diastereomeric mixture. Then, basic hydrolysis of pure diastereomer (IX) provided the (+)-enantiomer. Alternatively, asymmetric reduction of tetralone (VI) with LiAlH4 in cold THF in the presence of the chiral auxiliary (S)-4-anilino-3-methylamino-1-butanol (X) or (S)-2-amino-3-methyl-1,1-diphenyl-1-butanol (XI) afforded (+)-alcohol (respectively).

Drug Information Express,Drug R&D,Chemical Database,Patent Search.
Copyright © 2006-2026 Drug Future. All rights reserved.Contact Us