【药物名称】Carbovir, GR-90352, NSC-614846
化学结构式(Chemical Structure):
参考文献No.18284
标题:Synthesis of purine substd. cyclopentene derivs.
作者:Vince, R.; Peterson, M.L.; Lackey, J.W.; Mook, R.A. Jr.; Partridge, J.J. (GlaxoSmithKline plc)
来源:US 5126452
合成路线图解说明:

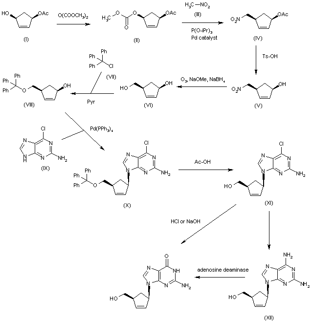
The reaction of the commercially available (1S-cis)-2-cyclopentan-1,4-diol 4-acetate (I) with methyl pyrocarbonate and DMAP in THF gives the carbonate ester (II), which by reaction with nitromethane (III), triisopropyl phosphite and a Pd catalyst, yields (1R-cis)-1-acetoxy-4-(nitromethyl)-2-cyclopentene (IV). The hydrolysis of (IV) by means of Ts-OH in methanol affords the corresponding alcohol (V), which by treatment with O3, NaOMe and NaBH4 in methanol provides (1R-cis)-4-(hydroxymethyl)-2-cyclopenten-1-ol (VI). The selective monotritylation of the primary OH group of (VI) with trityl chloride (VII) in pyridine gives the trityl ether (VIII), which is condensed with 2-amino-6-chloropurine (IX) by means of Pd(PPh3)4 in THF to yield the adduct (X). The destritylation of (X) with HOAc/water affords the hydroxymethyl compound (XI), which is finally dechlorinated by hydrolysis with hot HCl or NaOH to provide the target (-)-carbovir. Alternatively, the dechlorination of (XI) can be performed by reaction of (XI) with liquid ammonia at 75-80 C in a Parr bomb to give the diaminopurine (XII), which is finally submitted to an enzymatic deamination with adenosine deaminase (from calf intestinal mucosa).

参考文献No.105294
标题:Synthesis and anti-HIV activity of carbocyclic 2',3'-didehydro-2',3'-dideoxy 2,6-disubstituted purine nucleosides
作者:Hua, M.; Vince, R.
来源:J Med Chem 1990,33(1),17-21
合成路线图解说明:

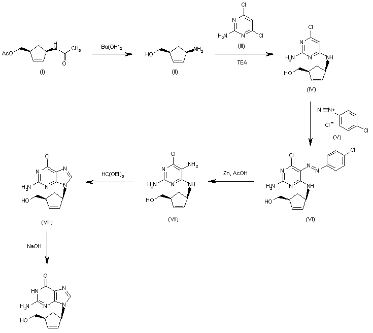
The hydrolysis of the diacetyl derivative (I) with Ba(OH)2 in refluxing water gives the amino alcohol (II), which is condensed with 4,6-dichloro-2-aminopyrimidine (III) by means of TEA in refluxing tert-butanol to yield the adduct (IV). The condensation of (IV) with the diazonium salt (V) affords the azo compound (VI), which is reduced with Zn/HOAc to provide the diamine (VII). The cyclization of (VII) with triethyl orthoformate gives the 6-chloropurine derivative (VIII), which is finally treated with NaOH in refluxing water to afford the target guanine derivative as a racemic compound.

参考文献No.154188
标题:Synthesis of carbon-14 labelled cis-2-amino-1,9-dihydro-9-[4-(hydroxymethyl)-2-cyclopenten-1-yl]-H6-purine-6-one; [8-14C]carbovir: A promising anti-AIDS drug
作者:Gopinathan, M.B.; Kepler, J.A.
来源:J Label Compd Radiopharm 1991,29(6),645
合成路线图解说明:

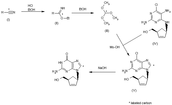
The reaction of 14C-labeled cyanhydric acid (I) with HCl and ethanol gives the iminoester (II), which by reaction with more ethanol in chloroform yields the labeled orthoester (III). The cyclization of the triaminopyrimidinone (IV) with orthoester (III) by means of Ms-OH in chloroform affords the chloropurine derivative (V), which is finally hydrolyzed with NaOH to afford the target compound, the 14C-labeled carbovir.

参考文献No.161470
标题:Synthesis from (-)-aristeromycin and x-ray structure of (-)-carbovir
作者:Exall, A.M.; et al.
来源:J Chem Soc - Perkins Trans I 1991,(10),2467
合成路线图解说明:

The selective silylation of (-)-aristeromycin (I) with Hdms-Cl and imidazole gives the monosilyl ether (II), which is treated with thiocarbonyl dimidazole (TCDI) in hot ethyl acetate to yield the cyclic thiocarbonate (III). The reaction of (III) with 1,3-dimethyl-1,3,2-diazaphospholidine (DMPDP) in refluxing THF affords the desired cyclopentene derivative (IV). In an alternative method, the reaction of (II) with methyl orthoformate provides the cyclic orthoester (V), which undergoes thermal elimination with acetic acid at high temperature giving the desired cyclopentene derivative (IV). The oxidation of (IV) with MCPBA in chloroform yields the N-oxide (VI), which by reaction with Br-CN in methanol affords the oxadiazole derivative (VII). The cleavage of the oxadiazole ring of (VII) and simultaneous methylation with TEA and Me-I provided the cyanoimino derivative (VIII), which is submitted to a Dimroth rearrangement by means of 1,8-diazabicyclo[5,4,0]undec-7-ene (DBU) in refluxing aqueous ethanol to give the methoxylated diaminopurine (IX). The reductive cleavage of the methoxyamino group of (IX) with Al/Hg in aqueous THF yields the silylated diaminopurine (X), which is deprotected with HCl in ethanol to afford the free diaminopurine precursor (XI). Finally, this compound is enzymatically deaminated by means of adenosine deaminase to furnish the target (-)-carbovir.

参考文献No.161471
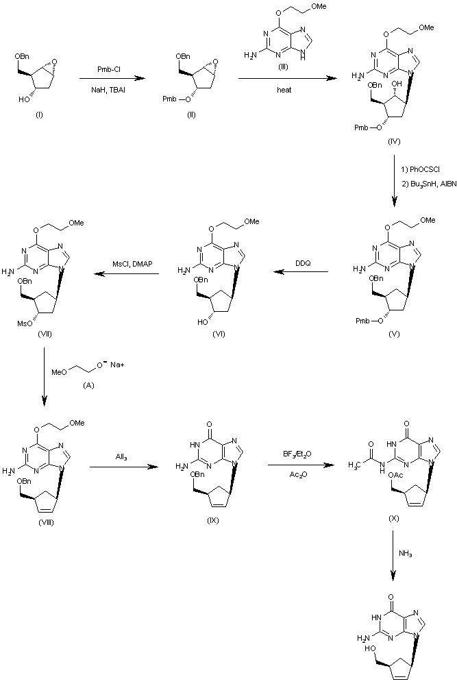
标题:Total synthesis of (-)-carbovir
作者:Jones, M.F.; et al.
来源:J Chem Soc - Perkins Trans I 1991,(10),2479
合成路线图解说明:

The protection of the chiral epoxy-alcohol (I) with Pmb-Cl, NaH and tetrabutylammonium iodide (TBAI) gives the protected compound (II), which is condensed with 2-amino-6-(2-methoxyethoxy)purine (III) in hot DMF to yield the adduct (IV). Elimination of the OH group of (IV) by means of a treatment with phenyl chlorothioformate, followed by a thermal elimination reaction with Bu3SnH and AIBN, affords the carbocyclic purine (V). The selective deprotection of (V) with DDQ in dichloromethane provides the cyclopentanol derivative (VI), which is treated with MsCl and DMAP to give the mesylate (VII).The reaction of (VII) with sodium 2-methoxyethanolate (A) in DMF yields the cyclopentene derivative (VIII), which is treated with AlI3 in hot acetonitrile to afford the carbocyclic guanine derivative (IX). The deprotection of (X) with BF3/Et2O and Ac2O provides the diacetyl derivative (X), which is finally deacetylated to the target chiral compound by means of NH3 in methanol.

合成路线图解说明:

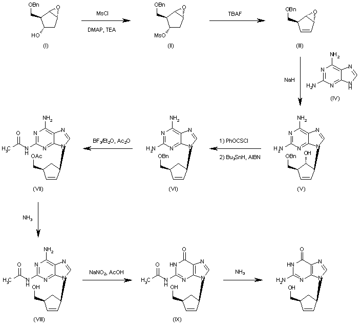
The reaction of the chiral epoxy-alcohol (I) with MsCl, TEA and DMAP gives the mesylate (II), which is treated with TBAF in THF to yield the unsaturated epoxide (III).The condensation of (III) with diaminopurine (IV) by means of NaH in DMF affords the carbocyclic purine (V), which is dehydroxylated by reaction with phenyl chlorothioformate, followed by a thermal elimination reaction with Bu3SnH and AIBN to provide the carbocyclic purine (VI). The debenzylation of (VI) by means of BF3/Et2O and Ac2O gives the diacetyl derivative (VII), which is selectively O-deacetylated with NH3 in methanol, yielding 2-acetamido-6-aminopurine (VIII). The reaction of (VIII) with NaNO2 and acetic acid affords the N-acetylated guanine derivative (IX), which is finally treated with NH3 in methanol to provide the target compound.

参考文献No.175276
标题:Potential use of carbocyclic nucleosides for the treatment of AIDS - Chemo-enzymatic syntheses of the enantiomers of carbovir
作者:Evans, C.T.; et al.
来源:J Chem Soc - Perkins Trans I 1992,(5),589
合成路线图解说明:

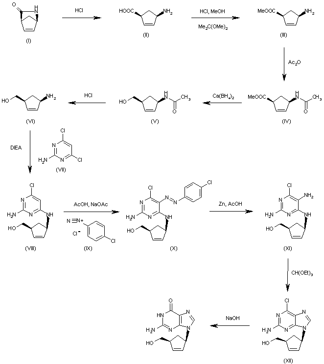
The hydrolysis of the chiral unsaturated bicyclic lactam (I) with aqueous refluxing HCl gives the amino acid (II), which is esterified with 2,2-dimethoxypropane, methanol and HCl to yield the methyl ester (III). The acylation of (III) with Ac2O and pyridine in dichloromethane affords the acetamide (IV), which is reduced with calcium borohydride in THF, providing the carbinol (V). The hydrolysis of the amido group of (V) with HCl in refluxing ethanol/water gives the chiral amino alcohol (VI), which is condensed with 2-amino-4,6-dichloropyrimidine (VII) by means of DIEA in refluxing butanol, yielding the adduct (VIII). The reaction of (VIII) with 4-chlorophenyldiazonium chloride (IX) by means of HOAc and NaOAc in water affords the azo compound (X), which is reduced with Zn and HOAc to provide the triaminopyrimidine (XI). The cyclization of (XI) with triethyl orthoformate gives the carbocyclic chloropurine (XII), which is finally treated with NaOH in refluxing water to yield the target carbocyclic guanine.

参考文献No.270611
标题:A short synthesis of (-)-carbovir
作者:Hildbrand, S.; et al.
来源:Helv Chim Acta 1994,77(5),1236
合成路线图解说明:

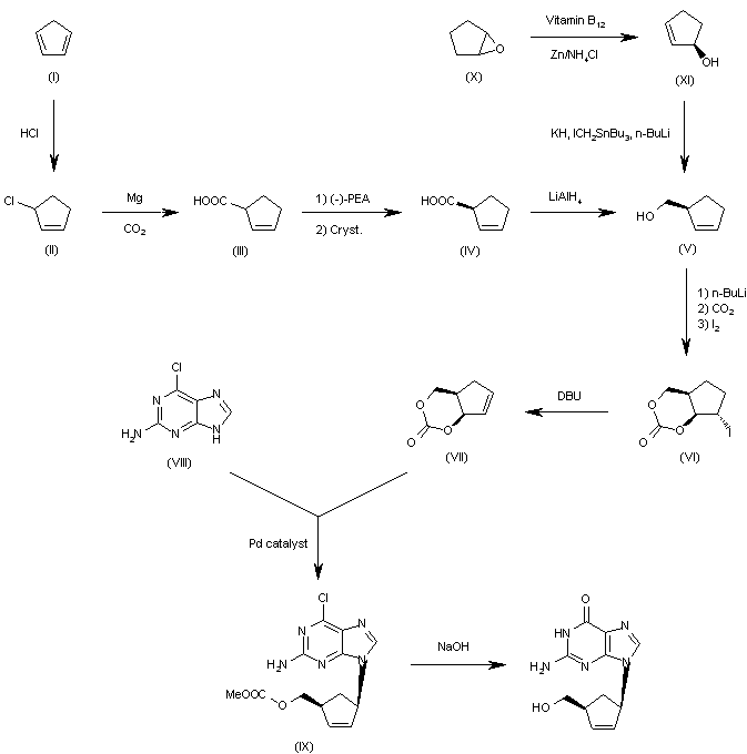
The addition of HCl to cyclopentadiene (I) gives 3-chlorocyclopentene (II), which is converted to racemic 2-cyclopentene-1-carboxylic acid (III). Optical resolution of (II) by crystallization of its (-)-1-phenylethylamine yields the desired enantiomer (IV), which is reduced with LiAlH4 in ethyl ether affording the chiral carbinol (V) (ee 98%). The reaction of (V) successively with BuLi, CO2 and I2 provides the iodinated cyclic carbonate (VI), which is treated with DBU in hot toluene to give the unsaturated cyclic carbonate (VII). The condensation of (VII) with 2-amino-6-chloropurine (VIII) by means of a Pd catalyst yields the carbocyclic purine (IX), which is finally hydrolyzed with aqueous NaOH to afford the target carbocyclic guanine. Alternatively, carbinol (V) can also be obtained by the vitamin B12/Zn/NH4Cl-catalyzed isomerization of 1,2-epoxycyclopentane (X) to the chiral cyclopentenol (XI), which by a [2,3]-sigmatropic Wittig rearrangement with KH, ICH2-SnBu4 and BuLi yields the target carbinol (V). However, the enantiomeric excess obtained is only ee 54%.

参考文献No.412460
标题:Efficient synthesis of carbovir and its congener via pi-allylpalladium complex formation by ring strain-assisted C-N bond cleavage
作者:katagiri, N.; et al.
来源:J Org Chem 1997,62(6),1580
合成路线图解说明:

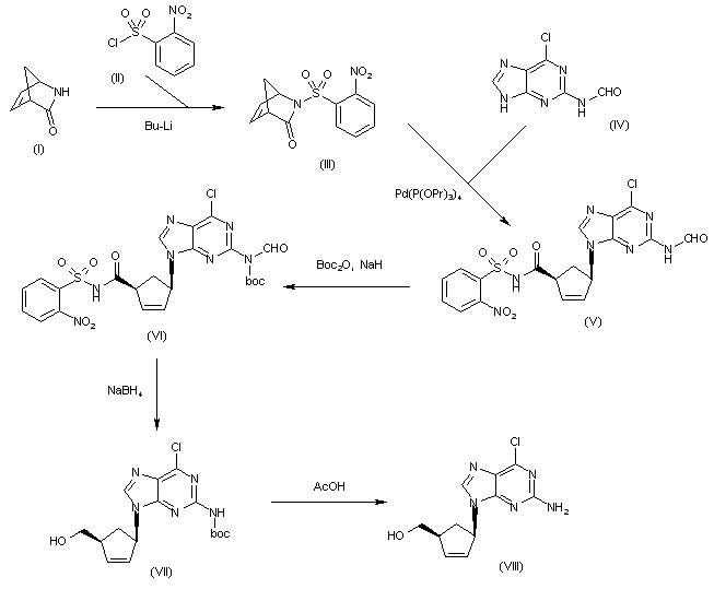
The reaction of 2-azabicyclo[2,2,1]-5-hepten-3-one (I) with 2-nitrophenylsulfonyl chloride (II) by means of BuLi in THF gives the sulfonamide (III), which is condensed with the chloropurine (IV) by means of Pd[P(OPr)3]4 in THF or NMP to yield the adduct (V). The N-protection of the formamide group of (V) with Boc2O and NaH in THF affords compound (VI), which is reduced and deprotected with NaBH4 in methanol to provide the N-Boc protected chloropurine (VII). Finally, this compound is treated with hot HOAc to furnish the target chloropurine (VIII) (see schemes 14673102a intermediate (VIII), 14673103a intermediate (VIII), 14673104a intermediate (IX), 14673107a intermediate (XII), 14673111a intermediate (IX) and 14673113a intermediate (XIII)).

参考文献No.462465
标题:Practical enantiodivergent syntheses of both enantiomers of carbovir, 1592U89 and six-membered ring analogues
作者:Yu, J.; Olivo, H.F.
来源:J Chem Soc - Perkins Trans I 1998,3(3),391-2
合成路线图解说明:

The cyclization of glyoxylic acid (I) with cyclopentadiene (II) gives the racemic hydroxylactone (III), which is acylated with Ac2O to yield acetoxy compound (rac)-(IV). The enzymatic optical resolution of (rac)-(IV) by means of Pseudomonas fluorescens affords the chiral hydroxylactone (-)-(V), which is reduced with LiAlH4 in refluxing THF to provide the lactol (VI). The oxidation of (VI) with NaIO4 in ethyl ether/water gives the chiral carbaldehyde (VII), which is reduced with NaBH4 in ethanol to afford the diol (VIII). The reaction of (VIII) with triphosgene by means of TEA in dichloromethane affords the cyclic carbonate (IX), which is condensed with chloropurine (X) by means of Pd(PPh3)4 in DMSO/THF to provide the adduct (XI). Finally, this compound is hydrolyzed with NaOH to afford the target (-)-carbovir.

合成路线图解说明:

5) The water promoted condensation of glyoxylic acid (XXXV) with cyclopentadiene (XXXVI) gives the racemic cis-hydroxylactone (XXXVII), which is acetylated with acetic anhydride to the acetate (XXXVIII). The selective enzymatic hydrolysis of (XXXVIII) with Pseudomonas fluorescens lipase yields the pre (-)-enantiomer (XXXIX), which is reduced with LiAlH4 in refluxing THF, affording triol (XL). The oxidation of the vicinal glycol of (XL) with NaIO4 in ethyl ether/water yields the hydroxyaldehyde (XLI), which is reduced with NaBH4 in ethanol to give the key intermediate 5(R)-(hydroxymethyl)-2-cyclopenten-1(R)-ol (XXX). This compound, by reaction with triphosgene and triethylamine in dichloromethane, results in the cyclic carbonate intermediate (XXXII), already reported.

参考文献No.570071
标题:A novel, one pot ring expansion of cyclobutanones. Synthesis of carbovir and aristeromycin
作者:Brown, B.; Hegedus, L.S.
来源:J Org Chem 2000,65(6),1865
合成路线图解说明:

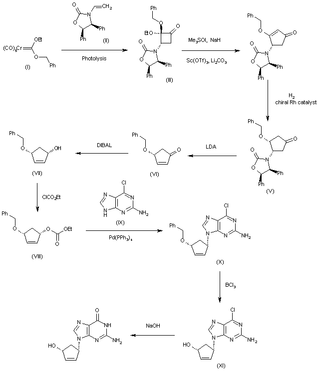
The photochemical cyclization of the chromium carbene complex (I) with the chiral vinyloxazolidinone (II) in dichloromethane gives the cyclobutanone (III), which is submitted to ring expansion by means of trimethylsulfoxonium iodide, NaH and Sn(OTf)3 in DMF, yielding the chiral cyclopentenone (IV). Enantiocontrolled hydrogenation of the double bond of (IV) with H2 over a chiral Rh catalyst in DMF affords the cyclopentanone (V). Elimination of the chiral auxiliary of (V) by means of LDA provides the cyclopentenone (VI), which is enantioselectively reduced with DIBAL to give (1S, cis)-4-(benzyloxy)-2-cyclopenten-1-ol (VII). The esterification of (VII) with ethyl chloroformate and pyridine in dichloromethane yields the mixed carbonate (VIII), which is condensed with 2-amino-6-chloropurine (IX) by means of Pd(PPh3)4 to afford the substituted chloropurine (X). The debenzylation of (X) by means of BCl3 provides the precursor (XI), which is finally hydrolyzed with NaOH to furnish the target (+)-carbovir.

参考文献No.584723
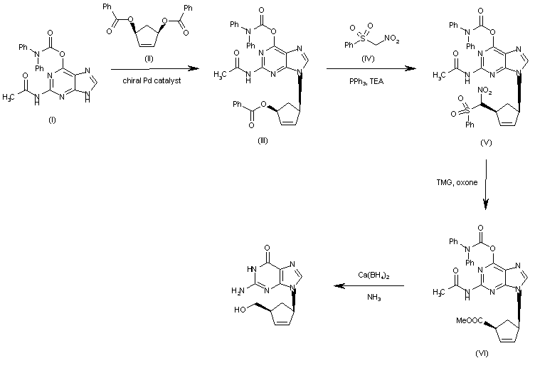
标题:Palladium-catalyzed enantioselective synthesis of carbanucleosides
作者:Madsen, R.; Brown, B.; Guile, S.D.; Trost, B.M.
来源:J Am Chem Soc 2000,122(25),5947
合成路线图解说明:

A new enantioselective synthesis of neplanocin A has been reported: The enantiocontrolled condensation of the 6-chloropurine (I) with cis-1,3-bis(benzoyloxy)-4-cyclopentene (II) catalyzed by a chiral Pd catalyst gives the alkylated purine (III), which is condensed with the nitrosulfone (IV) by means of PPh3 and TEA yielding the intermediate (V). Epoxidation of (V) with MCPBA in dichloromethane affords the epoxide (VI), which is oxidized with O3 and DBU in methanol/THF giving the cyclopentenecarboxylate (VII). The esterification of the beta-OH group of (VII) with 4-nitrobenzoic acid (VIII), PPh3 and DEAD in THF, using a Mitsunobu reaction to invert the OH group, yields the ester (IX), with the desired alpha-OH configuration. The reduction of (IX) with DIBAL in THF/dichloromethane affords the unsaturated the diol (X), which is dihydroxylated with OsO4 and NMO in acetone/water providing the tetraol (XI). The reaction of (XI) with 2,2-dimethoxypropane and TsOH gives the diacetonide (XII), which is selectively monodeprotected with FeCl3 on silica gel yielding the dihydroxylated acetonide (XIII). The regioselective hydroxylation of the primary OH of (XIII) with pivaloyl chloride (Piv-Cl) in pyridine yields the pivalate (XIV), which is dehydrated with SOCl2 in DMF/pyridine affording the fully protected 6-chloropurine derivative (XV). Compound (XV) is treated with ammonia in order to eliminate the pivaloyl group and to form the adenine derivative (XVI), which is finally treated with hot aqueous HCl to eliminate the acetonide group.

合成路线图解说明:

The enantiocontrolled condensation of the protected guanine (I) with cis-1,3-bis(benzoyloxy)-4-cyclopentene (II) catalyzed by a chiral Pd catalyst gives the alkylated guanine (III), which is condensed with the nitrosulfone (IV) by means of PPh3 and TEA to yield the intermediate (V). The oxidation of (V) with oxone, tetramethylguanidine, and Na2CO3 in methanol/dichloromethane affords the cyclopentenecarboxylate (VI), which is finally reduced with calcium borohydride and deprotected with ammonia to provide the target compound.

参考文献No.604759
标题:An efficient, general asymmetric synthesis of carbocyclic nucleosides: Application of an asymmetric aldol/ring-closing metathesis strategy
作者:Crimmins, M.T.; King, B.W.; Zuercher, W.J.; Choy, A.L.
来源:J Org Chem 2000,65(25),8499
合成路线图解说明:

The condensation of the chiral oxazolidinone (I) with the pentenoic anhydride (II) by means of n-BuLi in THF gives the N-pentenoyloxazolidinone (III), which is condensed with acrolein (IV) catalyzed by TiCl4 and (-)-spartein in dichloromethane, yielding the chiral adduct (V). The ring-closing metathesis of (V) by means of a Ru catalyst in dichloromethane affords the chiral cyclopentenol derivative (VI), which is reduced to the (R,R)-5-(hydroxymethyl)-2-cyclopenten-1-ol (VII) by means of LiBH4 in THF. The reaction of diol (VII) with Ac2O; with methyl chloroformate, TEA and DMAP; or with ethyl chloroformate and pyridine gives the diacetate (VIII), the cyclic carbonate (IX) or the dicarbonate (X), respectively. The condensation of (VIII), (IX) or (X) with 2-amino-6-chloropurine (XI) by means of Pd(PPh3)4 yields the carbocyclic purines (XII), (XIII) or (XIV), respectively. Finally, these compounds are hydrolyzed with aqueous NaOH to the target carbocyclic guanine.

合成路线图解说明:

Alternatively, the (R,R)-5-(hydroxymethyl)-2-cyclopenten-1-ol (VII) can also be obtained as follows: The condensation of the chiral oxazolidinethione (XV) with the pentenoic anhydride (II) by means of n-BuLi in THF gives the N-pentenoyloxazolidinethione (XVI), which is condensed with crotonaldehyde (XVII) catalyzed by TiCl4 and (-)-spartein in dichloromethane, yielding the chiral adduct (XVIII). The ring-closing metathesis of (XVIII) by means of a Ru catalyst in dichloromethane affords the chiral cyclopentenol derivative (XIX), which is reduced to the target diol (VII) by means of LiBH4 in THF.

合成路线图解说明:

An efficient asymmetric synthesis of abacavir has been reported: Acylation of the chiral oxazolidinone (I) with the mixed anhydride (II) by means of BuLi in THF gives the N-pentenoyloxazolidinone (III), which by condensation with acrolein (IV) catalyzed by TiCl4 and (?-spartein in dichloromethane yields the chiral adduct (V). The ring-closing metathesis of adduct (V) by means of the ruthenium catalyst (Cy3P)Cl2Ru=CHPh in dichloromethane affords the chiral cyclopentenol (VI), which is reduced to 5(R)-(hydroxymethyl)-2-cyclopenten-1(R)-ol (VII) by means of LiBH4 in THF. Reaction of diol (VII) with a) Ac2O, TEA and DMAP, b) methyl chloroformate, TEA and DMAP or c) methyl chloroformate, pyridine and DMAP gives a) the diacetate (VIII), b) the cyclic carbonate (IX) or c) the dicarbonate (X), respectively. The condensation of diacetate (VIII), cyclic carbonate (IX) or dicarbonate (X) with 2-amino-6-chloropurine (XI) by means of Pd(PPh3)4 yields the carbocyclic purines (XII), (XIII) or (XIV), respectively. Treatment of these chloro-purines (XII), (XIII) and (XIV) with cyclopropylamine (XV) in hot DMSO provides the corresponding cyclopropylaminopurine carbonate (XVI), abacavir or cyclopropylaminopurine acetate (XVII), respectively. Finally, the protecting groups of purines (XVI) and (XVII) are hydrolyzed with aqueous NaOH.

合成路线图解说明:

Alternatively, 5(R)-(hydroxymethyl)-2-cyclopenten-1(R)-ol (VII) can also be obtained as follows: Acylation of the chiral oxazolidinethione (XIX) with the mixed anhydride (II) by means of BuLi in THF gives the N-pentenoyl-oxazolidinethione (XX), which by condensation with crotonaldehyde (XXI) catalyzed by TiCl4 and (?-spartein in dichloromethane yields the chiral adduct (XXII). The ring-closing metathesis of (XXII) by means of the ruthenium catalyst in dichloromethane affords the chiral cyclopentenol derivative (XXIII), which is reduced to the target diol (VII) by means of LiBH4 in THF.

合成路线图解说明:

Alternatively, 2-amino-6-chloropurine (XI) is treated with cyclopropylamine (XV) in hot DMSO to give 2-amino-6-(cyclopropylamino)purine (XVIII), which is condensed with the chiral diacetate (VIII) by means of Pd(PPh3)4 to yield the carbocyclic purine acetate (XVI). Finally, purine (XVI) is deprotected by hydrolysis with aqueous NaOH.

参考文献No.607405
标题:Palladium-catalyzed chemoselective reaction of allylic carbonate with nucleoside bases and its application for the synthesis of carbocyclic nucleosides. (-)-and (+)-carbovirs
作者:Nokami, J.; et al.
来源:Chem Lett 1994,1071
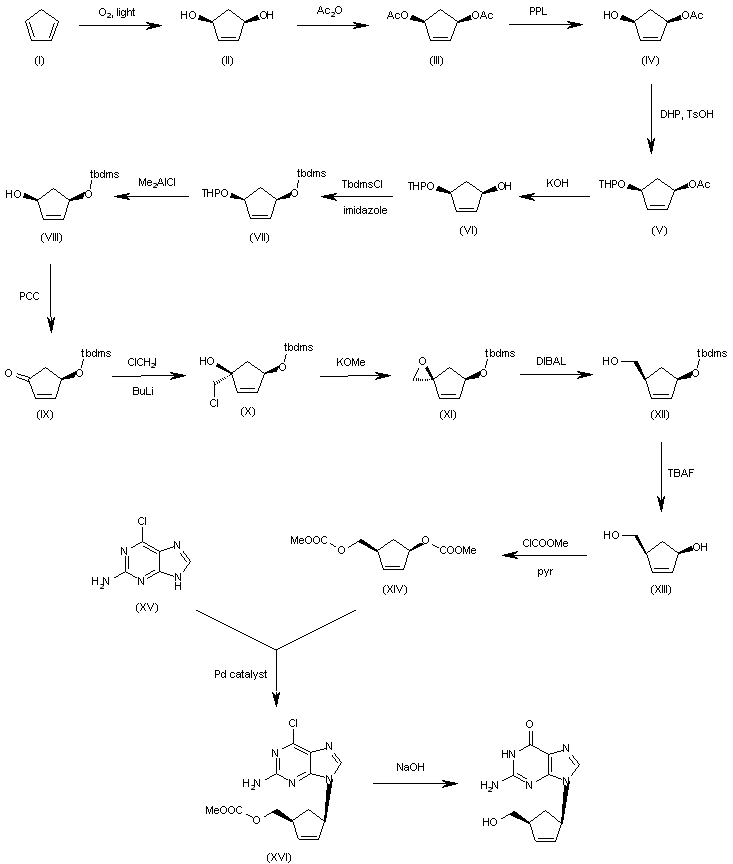
合成路线图解说明:

The photooxidation of cyclopentadiene (I) gives cis-4-cyclopentene-1,3-diol (II), which is acylated with Ac2O to yield the diacetate (II). Enzymatic selective hydrolysis of (II) using porcine pancreas lipase (PPL) affords the chiral monoacetate (IV), which is protected with dihydropyran (DHP) and Ts-OH to provide the tetrahydropyranyl ether (V). The hydrolysis of the acetate group of (V) with KOH in methanol gives the alcohol (VI), which is silylated with TbdmsCl and imidazole to yield the silyl ether (VII). Elimination of the THP-protecting group of (VII) with Me2AlCl in dichloromethane affords the cyclopentenol (VIII), which is oxidized with PCC to the cyclopentenone (IX). The condensation of (IX) with chloroiodomethane and BuLi in THF gives the chiral chloromethyl derivative (X), which is treated with potassium methoxide in THF to obtain the chiral epoxide (XI). Stereocontrolled opening of the epoxide ring of (XI) by means of DIBAL in hexane provides the cyclopentenyl-methanol derivative (XII), which is desilylated with TBAF in THF to give the chiral diol (XIII). The esterification of the diol (XIII) with methyl chloroformate and pyridine yields the bis-carbonate (XIV), which is condensed with 2-amino-6-chloropurine (XV) by means of Pd(PPh3)4 in DMF to afford the carbocyclic purine derivative (XVI). Finally, this compound is hydrolyzed with NaOH in refluxing water to provide the target carbocyclic guanine.

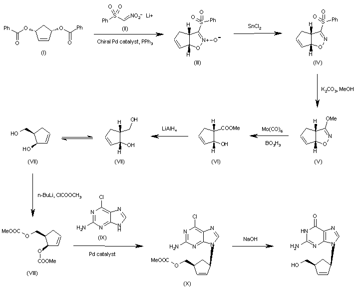
参考文献No.607406
标题:A novel Pd-catalyzed cycloalkylation to isoxazoline 2-oxides. Application for the asymmetric synthesis of carbanucleosides
作者:Trost, B.M.; et al.
来源:J Am Chem Soc 1992,114(22),8745
合成路线图解说明:

The condensation of the cis-dibenzoyloxycyclopentene (I) with the lithium salt of 2-nitrovinyl(phenyl)sulfone (II) by means of a chiral palladium catalyst and PPh3 in THF gives the chiral isoxazoline-N oxide (III), which is deoxygenated by means of SnCl2 in acetonitrile, yielding the isoxazoline (IV). The solvolysis of (IV) with K2CO3 in methanol affords the methoxy compound (V), which is treated with Mo(CO)6 and boric acid in methanol to provide the chiral 2-hydroxy-3-cyclopentene-1-carboxylic acid methyl ester (VI). The reduction of (VI) with LiAlH4 in ether yields the hydroxymethyl derivative (VII), which is esterified with methyl chloroformate and BuLi in THF to afford the bis-carbonate (VIII). The condensation of (VIII) with 2-amino-6-chloropurine (IX) by means of a Pd catalyst in THF provides the carbocyclic purine (X), which is finally treated with NaOH in refluxing water to yield the target carbocyclic guanine.

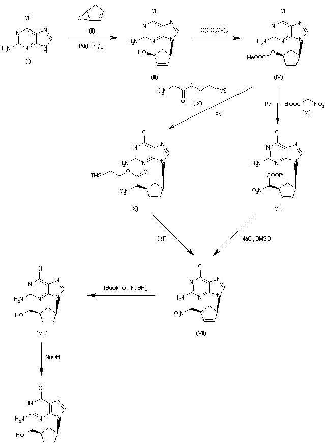
参考文献No.607407
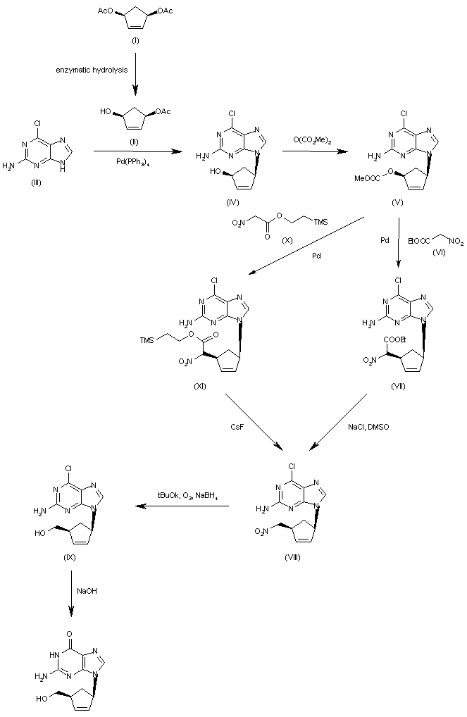
标题:A short, enantioselective synthesis of the carbocyclic nucleoside carbovir
作者:Peel, M.R.; et al.
来源:J Org Chem 1991,56(16),4990
合成路线图解说明:

The condensation of 6-chloropurine-2-amine (I) with epoxide (II) by means of Pd(PPh3)4 in DMSO gives the cyclopentenol derivative (III), which is treated with dimethyl dicarbonate and DMAP in dichloromethane to yield the carbonate (IV). The condensation of (IV) with ethyl 2-nitroacetate (V) by means of Pd in THF affords the adduct (VI), which is decarboxylated by means of NaCl in DMSO/water at 150 C to provide the nitromethylcyclopentene derivative (VII). The reaction of (VII) with tBuOK, O3 and NaBH4 in methanol gives the corresponding hydroxymethyl derivative (VIII), which is finally hydrolyzed with NaOH in refluxing water to afford the target guanine as a racemic compound. Alternatively, the nitromethyl-cyclopentene derivative (VII) can also be obtained by condensation of carbonate (IV) with 2-(trimethylsilyl)ethyl 2-nitroacetate (IX) by means of Pd in THF to give the adduct (X), which is decarboxylated by means of CsF in hot acetonitrile, affording (VII).

合成路线图解说明:

The condensation of 6-chloropurine-2-amine (III) with the chiral monoacetate (II) (obtained by enzymatic desymmetrization of diacetate (I)) by means of Pd(PPh3)4 in DMSO gives the cyclopentenol derivative (IV), which is treated with dimethyl dicarbonate and DMAP in dichloromethane to yield the carbonate (V). The condensation of (V) with ethyl 2-nitroacetate (VI) by means of Pd in THF affords the adduct (VII), which is decarboxylated by means of NaCl in DMSO/water at 150 C to provide the nitromethylcyclopentene derivative (VIII). The reaction of (VIII) with tBuOK, O3 and NaBH4 in methanol gives the corresponding hydroxymethyl derivative (IX), which is finally hydrolyzed with NaOH in refluxing water to afford the target guanine as a racemic compound. Alternatively, the nitromethyl-cyclopentene derivative (VIII) can also be obtained by condensation of carbonate (V) with 2-(trimethylsilyl)ethyl 2-nitroacetate (X) by means of Pd in THF to give the adduct (XI), which is decarboxylated by means of CsF in hot acetonitrile, affording (VIII).

参考文献No.607408
标题:pi-Allylpalladium formation from allylic amines via N,N-ditosylimides and N-tosylamides: Efficient synthesis of the antiviral agent carbovir
作者:Jung, M.E.; Rhee, H.
来源:J Org Chem 1994,59(17),4719
合成路线图解说明:

The reaction of cyclopentadiene (I) with tosyl cyanide in acidic water gives the racemic bicyclic lactam (II), which is opened by means of TsCl and NaH to yield cis-3-(tosylamino)-4-cyclopentene-1-carboxylic acid (III). The reduction of (III) with NaBH4 affords the corresponding carbinol (IV), which is acylated with Ac2O and pyridine to provide the acetate (V). The reaction of (V) with Ts-Cl and NaH yields the ditosylamino derivative (VI), which is condensed with 2-amino-6-chloropurine (VII) by means of a Pd catalyst, affording the carbocyclic purine (VIII). Finally, this compound is hydrolyzed with hot aqueous NaOH to give the target carbocyclic guanine.

参考文献No.607771
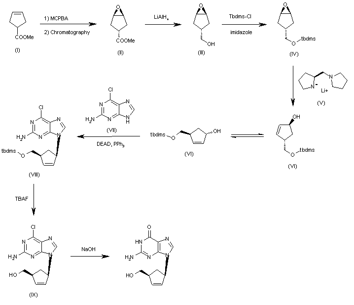
标题:An asymmetric synthesis of (-)-carbovir
作者:Asami, M.; Inoue, S.; Takahashi, J.
来源:Tetrahedron Asymmetry 1994,5(9),1649
合成路线图解说明:

The epoxidation of 3-cyclopentene-1-carboxylic acid methyl ester (I) with MCPBA in cyclohexane gives the trans-epoxide (II) along with some cis-isomer that is separated by chromatography. The reduction of the ester group of (II) with LiAlH4 in ether yields the corresponding trans-carbinol (III), which is silylated with Tbdms-Cl and imidazole to afford the silyl ether (IV). The reaction of the epoxide (IV) with the chiral lithium pyrrolidide (V) in benzene provides the (1S,3S)(trans) 3-(tertbutyldimethylsilyloxy)-4-cyclopenten-1-ol (VI). The condensation of (VI) with 2-amino-6-chloropurine by means of diethyl azodicarboxylate (DEAD) and PPh3 in dioxane gives the carbocyclic purine derivative (VIII), which is desilylated by means of TBAF in THF to the chloropurine (IX). Finally, this compound is hydrolyzed with refluxing aqueous NaOH to yield the target carbocyclic guanine.

Drug Information Express,Drug R&D,Chemical Database,Patent Search.
Copyright © 2006-2026 Drug Future. All rights reserved.Contact Us