【药物名称】Abanoquil mesilate, UK-52046-27
化学结构式(Chemical Structure):
参考文献No.10368
标题:2-Substd.-4-amino-6,7-dimethoxyquinolines
作者:Campbell, S.F.; Hardstone, J.D. (Pfizer Inc.)
来源:EP 0100200
合成路线图解说明:

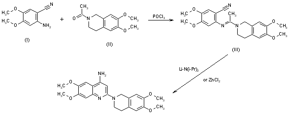
The condensation of 2-amino-4,5-dimethoxybenzonitrile (I) with 2-acetyl-6,7-dimethoxy-1,2,3,4-tetrahydroisoquinoline (II) by means of POCl3 and dimethylacetamide in refluxing CHCl3 gives 2-[1-(6,7-dimethoxy-1,2,3,4-tetrahydroisoquinolin-2-yl)ethylideneamino]-4,5-dimethoxybenzonitrile (III), which is then cyclized with lithium diisopropylamide in THF at -70 C or with ZnCl2 in refluxing dimethylacetamide.

参考文献No.85359
标题:A convenient synthesis of 2,4-diaminoquinoline derivatives
作者:Hardstone, J.D.; Palmer, M.J. A.; Campbell, S.F.
来源:Tetrahedron Lett 1984,25(42),4813
合成路线图解说明:

The condensation of 2-amino-4,5-dimethoxybenzonitrile (I) with 2-acetyl-6,7-dimethoxy-1,2,3,4-tetrahydroisoquinoline (II) by means of POCl3 and dimethylacetamide in refluxing CHCl3 gives 2-[1-(6,7-dimethoxy-1,2,3,4-tetrahydroisoquinolin-2-yl)ethylideneamino]-4,5-dimethoxybenzonitrile (III), which is then cyclized with lithium diisopropylamide in THF at -70 C or with ZnCl2 in refluxing dimethylacetamide.

参考文献No.187609
标题:Abanoquil Mesylate
作者:Pento, J.T.
来源:Drugs Fut 1992,17(11),983
合成路线图解说明:

The condensation of 2-amino-4,5-dimethoxybenzonitrile (I) with 2-acetyl-6,7-dimethoxy-1,2,3,4-tetrahydroisoquinoline (II) by means of POCl3 and dimethylacetamide in refluxing CHCl3 gives 2-[1-(6,7-dimethoxy-1,2,3,4-tetrahydroisoquinolin-2-yl)ethylideneamino]-4,5-dimethoxybenzonitrile (III), which is then cyclized with lithium diisopropylamide in THF at -70 C or with ZnCl2 in refluxing dimethylacetamide.

Drug Information Express,Drug R&D,Chemical Database,Patent Search.
Copyright © 2006-2026 Drug Future. All rights reserved.Contact Us