【药物名称】Eptastigmine tartrate, Heptylstigmine tartrate, L-693487, MF-201
化学结构式(Chemical Structure):
参考文献No.79254
标题:HEPTYLSTIGMINE TARTRATE
作者:Prous, J.; Casta馿r, J.
来源:Drugs Fut 1989,14(2),123
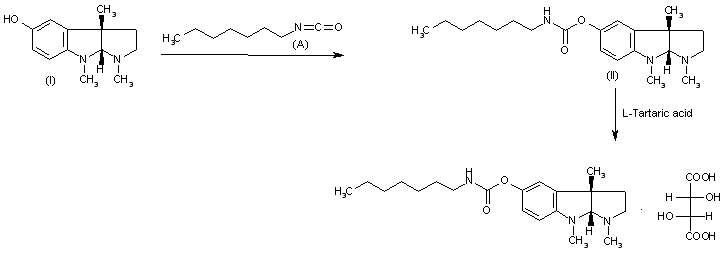
合成路线图解说明:

Condensation of eseroline (I) with heptyl isocyanate yields heptyleserine (II), which is then salified with L-tartaric acid to give the corresponding salt.

Drug Information Express,Drug R&D,Chemical Database,Patent Search.
Copyright © 2006-2026 Drug Future. All rights reserved.Contact Us