【药物名称】Lodenosine, NSC-613792, DDG-1, 2'-F-dd-ara-A, FddA
化学结构式(Chemical Structure):
参考文献No.37872
标题: D-Xylofuranose derivs., method of preparing them, their use, and novel intermediate compounds for the method
作者:Saischek, E.; Dax, K.; Braun, W.; Fuchs, F.; Saischek, G. (Chevron Research Co.)
来源:WO 9606851
合成路线图解说明:

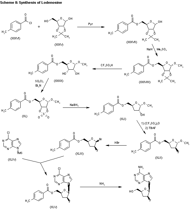
The reaction of 2,3-O-isopropylidene-D-ribofuranose (XXXV) with 4-methylbenzoyl chloride (XXXVI) by means of pyridine in butyl acetate gives 2,3-O-isopropylidene-5-O-(4-methylbenzoyl)-D-ribofuranose (XXXVII), which is methylated by means of NaH and dimethylsulfate in THF to yield the expected methyl ribofuranoside (XXXVIII). The hydrolysis of the acetonide group of (XXXVIII) with trifluoromethanesulfonic acid in acetonitrile affords 1-O-methyl-5-O-(4-methylbenzoyl)-alpha-D-ribofuranose (XXXIX), which is treated with SO2Cl2/triethylamine in butyl acetate to give the cyclic sulfate (XL). The reduction of (XL) with NaBH4 in THF yields 3-deoxy-1-O-methyl-5-O-(4-methylbenzoyl)-alpha-D-ribofuranose (XLI), which is treated with trifluoromethanesulfonic anhydride and tetrabutylammonium fluoride in dichloromethane/pyridine to afford 2,3-dideoxy-2-fluoro-1-O-methyl-alpha-D-arabinofuranose (XLII). The reaction of (XLII) with HBr in acetic acid as before gives the bromosugar (XLIII), which is condensed with 6-chloro-9-(trimethylsilyl)purine (XLIV) in dichloromethane to yield 6-chloro-9-[2,3-dideoxy-2-fluoro-5-O-(4-methylbenzoyl)-beta-D-arabinofuranosyl]purine (XLV). Finally, this compound is treated with ammonia in methanol at 90 C.

参考文献No.37873
标题:alpha-D-Pentofuranoside derivs., process for preparing the same and their use
作者:Stadelmann, B.
来源:WO 9606103
合成路线图解说明:

The treatment of 2,3-O-dimesyl-5-O-(4-methoxybenzyl)-1-O-methyl-alpha-D-xylofuranose (XXX) with NaBH4 gives 3-deoxy-5-O-(4-methoxybenzyl)-1-O-methyl-alpha-D-xylofuranose (XXXI), which is fluorinated with diethylamido sulfur trifluoride as before, yielding 2,3-dideoxy-2-fluoro-5-O-(4-methoxybenzyl)-alpha-D-arabinofuranose (XXXII). The condensation of (XXXII) with adenine (XXXIII) by means of acetyl bromide affords 9-[2,3-dideoxy-2-fluoro-5-O-(4-methoxybenzyl)-beta-D-arabinofuraosyl]adenine (XXXIV), which is finally deprotected by hydrogenation over Pd/C in ethanol.

参考文献No.37874
标题: 2'-Fluorofuranosyl derivs. and methods for preparing 2'-fluoropyrimidine and 2'-fluoropurine nucleosides
作者:Marquez, V.E.; Siddiqui, M.A.; Driscoll, J.S.; Wysocki, R.J. Jr. (US Department of Health & Human Services)
来源:US 5817799
合成路线图解说明:

The selective silylation of 2-deoxy-2-fluoro-1-O-methyl-beta-D-arabinofuranose (XIII) with tert-butyldiphenylsilyl chloride (TBDPS-Cl) and imidazole in DMF gives the 5-O-silylated sugar (XXIV), which is treated with CS2/NaH/methyl iodide in DMF to yield compound (XXV). The reduction of (XXV) with tributyltin hydride and AIBN in refluxing toluene affords 2,3-dideoxy-2-fluoro-5-O-(tert-butyldiphenylsilyl)-beta-D-arabinofuranose (XXVI), which is treated with HBr in acetic acid to yield the bromosugar (XXVII). The condensation of (XXVII) with 6-chloropurine (V) in hot acetonitrile gives 6-chloro-9-[2,3-dideoxy-2-fluoro-5-O-(tert-butyldiphenylsilyl)-beta-D-arabinofuranosyl]purine (XXVIII), which is desilylated with tetrabutylammonium fluoride in THF, yielding 6-chloro-9-[2,3-dideoxy-2-fluoro-beta-D-arabinofuranosyl]purine (XXIX). Finally, this compound is treated with methanolic ammonia at 105 C as before.

参考文献No.111857
标题:Acid-stable 2'-fluoro purine dideoxynucleosides as active agents against HIV
作者:Marquez, V.E.; Tseng, C.K.-H.; Mitsuya, H.; Aoki, S.; Kelley, J.A.; Ford, H. Jr.; Roth, J.S.; Broder, S.; Johns, D.G.; Driscoll, J.S.
来源:J Med Chem 1990,33(3),978-85
合成路线图解说明:

The TLC monitored reaction of 1,3-di-O-acetyl-5-O-benzoyl-2-deoxy-2-fluoro-D-arabinofuranose (III) with 30% HBr in acetic acid gives the bromosugar (IV), which is condensed with 6-chloropurine (V) in refluxing dichloromethane, yielding the chloropurine derivative (VI). The reaction of (VI) with methanolic NH3 at 100 C in a steel bomb affords 9-(2-deoxy-2-fluoro-beta-D-arabinofuranosyl)adenine (VII), which is selectively silylated with tert-butyldimethylsilyl chloride (TBDMS-Cl) and imidazole in DMF, giving the 5'-O-silyl derivative (VIII). The reaction of (VIII) with phenyl chlorothioformate by means of dimethylaminopyridine in DMF yields the thiocarbonate (IX), which is reduced with tributyltin hydride and AIBN in hot toluene, affording 9-[2,3-dideoxy-2-fluoro-5-O-(tert-butyldimethylsilyl)-beta-D-arabinofuranosyl]adenine (X). Finally, this compound is desilylated with tetrabutylammonium fluoride in THF.

参考文献No.474025
标题:Lodenosine
作者:Casta馿r, J.; Graul, A.; Silvestre, J.S.
来源:Drugs Fut 1998,23(11),1176-1189
合成路线图解说明:

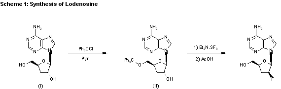
The selective tritylation of cordycepin (3'-deoxyadenosine) (I) with trityl chloride in pyridine gives the 5'-O-trityl derivative (II), which is then fluorinated with diethylamido sulfur trifluoride in refluxing dichloromethane and deprotected with hot 80% acetic acid.

合成路线图解说明:

The TLC monitored reaction of 1,3-di-O-acetyl-5-O-benzoyl-2-deoxy-2-fluoro-D-arabinofuranose (III) with 30% HBr in acetic acid gives the bromosugar (IV), which is condensed with 6-chloropurine (V) in refluxing dichloromethane, yielding the chloropurine derivative (VI). The reaction of (VI) with methanolic NH3 at 100 C in a steel bomb affords 9-(2-deoxy-2-fluoro-beta-D-arabinofuranosyl)adenine (VII), which is selectively silylated with tert-butyldimethylsilyl chloride (TBDMS-Cl) and imidazole in DMF, giving the 5'-O-silyl derivative (VIII). The reaction of (VIII) with phenyl chlorothioformate by means of dimethylaminopyridine in DMF yields the thiocarbonate (IX), which is reduced with tributyltin hydride and AIBN in hot toluene, affording 9-[2,3-dideoxy-2-fluoro-5-O-(tert-butyldimethylsilyl)-beta-D-arabinofuranosyl]adenine (X). Finally, this compound is desilylated with tetrabutylammonium fluoride in THF.

合成路线图解说明:

The reaction of 1,3,5-tri-O-benzoyl-2-deoxy-2-fluoro-alpha-D-arabinofuranose (XI) with HBr in acetic acid gives the bromosugar (XII), which is methylated with methanol/K2CO3 in THF, yielding the 1-O-methyl glucoside (XIII). The selective benzoylation of (XIII) with benzoyl chloride in pyridine at -30 C affords the 5-O-benzoyl glucoside (XIV), which is treated with CS2/methyl iodide and NaH in DMF, giving compound (XV). The reduction of (XV) with tributyltin hydride and AIBN in refluxing toluene yields the 3-deoxy glucoside (XVI), which is condensed with 6-chloropurine (V) in refluxing hexamethyldisylazane, affording 9-(5-O-benzoyl-2,3-dideoxy-2-fluoro-beta-D-arabinofuranosyl)adenine (XVII). Finally, this compound is debenzoylated with methanolic ammonia at 100 C in a sealed tube.

合成路线图解说明:

The regioseletive deacetylation of 9-(2,5-diacetoxy-3-bromo-3-deoxy-beta-D-xylofuranosyl)adenine (XVIII) by means of beta-cyclodextrin/NaHCO3 in water or hydrazine monohydrate in ethanol gives 9-(5-acetoxy-3-bromo-3-deoxy-beta-D-xylofuranosyl)adenine (XIX), which is debrominated by hydrogenation over Pd/C in acetonitrile/water, affording 9-(5-acetoxy-3-deoxy-beta-D-xylofuranosyl)adenine (XX). Finally, this compound is fluorinated by means of diethylamido sulfur trifluoride in refluxing dichloromethane, yielding (XXI) and deacetylated with NH3 to the target compound.

合成路线图解说明:

The controlled reaction of 1,3,5-tri-O-benzoyl-2-deoxy-2-fluoro-alpha-D-arabinofuranose (XI) with HBr in acetic acid gives the bromosugar (XXII), which is condensed with 6-chloropurine (V) as before, yielding 6-chloro-9-(3,5-di-O-benzoyl-2-deoxy-2-fluoro-beta-D-arabinofuranosyl)purine (XXIII). Finally, this compound is treated with ammonia in methanol as before to afford intermediate 9-(2-deoxy-2-fluoro-beta-D-arabinofuranosyl)adenine (VII).

合成路线图解说明:

The selective silylation of 2-deoxy-2-fluoro-1-O-methyl-beta-D-arabinofuranose (XIII) with tert-butyldiphenylsilyl chloride (TBDPS-Cl) and imidazole in DMF gives the 5-O-silylated sugar (XXIV), which is treated with CS2/NaH/methyl iodide in DMF to yield compound (XXV). The reduction of (XXV) with tributyltin hydride and AIBN in refluxing toluene affords 2,3-dideoxy-2-fluoro-5-O-(tert-butyldiphenylsilyl)-beta-D-arabinofuranose (XXVI), which is treated with HBr in acetic acid to yield the bromosugar (XXVII). The condensation of (XXVII) with 6-chloropurine (V) in hot acetonitrile gives 6-chloro-9-[2,3-dideoxy-2-fluoro-5-O-(tert-butyldiphenylsilyl)-beta-D-arabinofuranosyl]purine (XXVIII), which is desilylated with tetrabutylammonium fluoride in THF, yielding 6-chloro-9-[2,3-dideoxy-2-fluoro-beta-D-arabinofuranosyl]purine (XXIX). Finally, this compound is treated with methanolic ammonia at 105 C as before.

合成路线图解说明:

The treatment of 2,3-O-dimesyl-5-O-(4-methoxybenzyl)-1-O-methyl-alpha-D-xylofuranose (XXX) with NaBH4 gives 3-deoxy-5-O-(4-methoxybenzyl)-1-O-methyl-alpha-D-xylofuranose (XXXI), which is fluorinated with diethylamido sulfur trifluoride as before, yielding 2,3-dideoxy-2-fluoro-5-O-(4-methoxybenzyl)-alpha-D-arabinofuranose (XXXII). The condensation of (XXXII) with adenine (XXXIII) by means of acetyl bromide affords 9-[2,3-dideoxy-2-fluoro-5-O-(4-methoxybenzyl)-beta-D-arabinofuraosyl]adenine (XXXIV), which is finally deprotected by hydrogenation over Pd/C in ethanol.

合成路线图解说明:

The reaction of 2,3-O-isopropylidene-D-ribofuranose (XXXV) with 4-methylbenzoyl chloride (XXXVI) by means of pyridine in butyl acetate gives 2,3-O-isopropylidene-5-O-(4-methylbenzoyl)-D-ribofuranose (XXXVII), which is methylated by means of NaH and dimethylsulfate in THF to yield the expected methyl ribofuranoside (XXXVIII). The hydrolysis of the acetonide group of (XXXVIII) with trifluoromethanesulfonic acid in acetonitrile affords 1-O-methyl-5-O-(4-methylbenzoyl)-alpha-D-ribofuranose (XXXIX), which is treated with SO2Cl2/triethylamine in butyl acetate to give the cyclic sulfate (XL). The reduction of (XL) with NaBH4 in THF yields 3-deoxy-1-O-methyl-5-O-(4-methylbenzoyl)-alpha-D-ribofuranose (XLI), which is treated with trifluoromethanesulfonic anhydride and tetrabutylammonium fluoride in dichloromethane/pyridine to afford 2,3-dideoxy-2-fluoro-1-O-methyl-alpha-D-arabinofuranose (XLII). The reaction of (XLII) with HBr in acetic acid as before gives the bromosugar (XLIII), which is condensed with 6-chloro-9-(trimethylsilyl)purine (XLIV) in dichloromethane to yield 6-chloro-9-[2,3-dideoxy-2-fluoro-5-O-(4-methylbenzoyl)-beta-D-arabinofuranosyl]purine (XLV). Finally, this compound is treated with ammonia in methanol at 90 C.

参考文献No.478759
标题:Synthesis and anti-HIV activity of various 2'- and 3'-substituted 2',3'-dideoxyadenosines: A structure-activity analysis
作者:Herdewijn, P.; Pauwels, R.; Baba, M.; Balzarini, J.; De Clercq, E.
来源:J Med Chem 1987,30(11),2131-7
合成路线图解说明:

The selective tritylation of cordycepin (3'-deoxyadenosine) (I) with trityl chloride in pyridine gives the 5'-O-trityl derivative (II), which is then fluorinated with diethylamido sulfur trifluoride in refluxing dichloromethane and deprotected with hot 80% acetic acid.

参考文献No.478765
标题:2',3'-Dideoxy-2'-fluoro-ara-A, an acid-stable purine nucleoside active against human immunodeficiency virus (HIV)
作者:Marquez, V.E.; Tseng, C.K.-H.; Kelley, J.A.; Mitsuya, H.; Roth, J.S.; Broder, S.; Driscoll, J.S.
来源:Biochem Pharmacol 1987,36(17),2719-22
合成路线图解说明:

The reaction of 1,3,5-tri-O-benzoyl-2-deoxy-2-fluoro-alpha-D-arabinofuranose (XI) with HBr in acetic acid gives the bromosugar (XII), which is methylated with methanol/K2CO3 in THF, yielding the 1-O-methyl glucoside (XIII). The selective benzoylation of (XIII) with benzoyl chloride in pyridine at -30 C affords the 5-O-benzoyl glucoside (XIV), which is treated with CS2/methyl iodide and NaH in DMF, giving compound (XV). The reduction of (XV) with tributyltin hydride and AIBN in refluxing toluene yields the 3-deoxy glucoside (XVI), which is condensed with 6-chloropurine (V) in refluxing hexamethyldisylazane, affording 9-(5-O-benzoyl-2,3-dideoxy-2-fluoro-beta-D-arabinofuranosyl)adenine (XVII). Finally, this compound is debenzoylated with methanolic ammonia at 100 C in a sealed tube.

参考文献No.478772
标题:A more expedient approach to the synthesis of anti-HIV-active 2,3-dideoxy-2-fluoro-beta-D-threo-pentofuranosyl nucleosides
作者:Siddiqui, M.A.; Marquez, V.E.; Driscoll, J.S.; Barchi, J.J. Jr.; Wysocki, R.J. Jr.
来源:Synthesis 1991,11(11),1005-8
合成路线图解说明:

The reaction of 1,3,5-tri-O-benzoyl-2-deoxy-2-fluoro-alpha-D-arabinofuranose (XI) with HBr in acetic acid gives the bromosugar (XII), which is methylated with methanol/K2CO3 in THF, yielding the 1-O-methyl glucoside (XIII). The selective benzoylation of (XIII) with benzoyl chloride in pyridine at -30 C affords the 5-O-benzoyl glucoside (XIV), which is treated with CS2/methyl iodide and NaH in DMF, giving compound (XV). The reduction of (XV) with tributyltin hydride and AIBN in refluxing toluene yields the 3-deoxy glucoside (XVI), which is condensed with 6-chloropurine (V) in refluxing hexamethyldisylazane, affording 9-(5-O-benzoyl-2,3-dideoxy-2-fluoro-beta-D-arabinofuranosyl)adenine (XVII). Finally, this compound is debenzoylated with methanolic ammonia at 100 C in a sealed tube.

参考文献No.478870
标题:Design, synthesis, and antiviral activity of nucleoside and nucleotide analogs
作者:Marquez, V.E.
来源:ACS Symp Ser 1989,401140-55
合成路线图解说明:

The controlled reaction of 1,3,5-tri-O-benzoyl-2-deoxy-2-fluoro-alpha-D-arabinofuranose (XI) with HBr in acetic acid gives the bromosugar (XXII), which is condensed with 6-chloropurine (V) as before, yielding 6-chloro-9-(3,5-di-O-benzoyl-2-deoxy-2-fluoro-beta-D-arabinofuranosyl)purine (XXIII). Finally, this compound is treated with ammonia in methanol as before to afford intermediate 9-(2-deoxy-2-fluoro-beta-D-arabinofuranosyl)adenine (VII).

参考文献No.547609
标题:Synthesis of 9-(2-deoxy-2-fluoro-beta-D-arabinofuranosyl)adenine bearing selectively removable protecting group
作者:Izawa, K.; Satoh, Y.; Takamatsu, S.; Kozai, S.; Maruyama, T.
来源:Chem Pharm Bull 1999,47(7),966
合成路线图解说明:

A new synthesis of lodenosine has been described: The selective benzoylation of the 6-chloropurine riboside (I) with benzoyl chloride and triethylamine through the formation of a complex with dibutyl tin oxide, gives the 3'-O-benzoyl derivative (II), which is purified by crystallization (minor impurities, about 3%, of the 2'-O derivative are present). The protection of the primary OH group of (II) by reaction with trityl chloride, DMAP and Et3N in DMF yields the 5'-O-trityl derivative (III), which is treated with DAST and pyridine to afford the fluorinated arabinofuranoside (IV). The reaction of (IV) with ammonia in methanol displaces the 6-Cl atom and hydrolyzes the 3'-O-benzoyl group giving the fluorinated arabinofuranosyladenine (V). The reaction of (V) with phenyl chlorothionoformate and DMAP in acetonitrile yields the thiocarbonate (VI), which is treated with tris(trimethylsilyl)silane and AIBN in hot toluene to afford the 3'-deoxy compound (VII). Finally, this compound is deprotected by reaction with HCl in methanol/water.

参考文献No.614190
标题:Improved synthesis of 9-(2,3-dideoxy-2-fluoro-beta-D-threo-pentofuranosyl)adenine (FddA) using triethylamine trihydrofluoride
作者:Katayama, S.; Hirose, N.; Izawa, K.; Takamatsu, S.; Maruyama, T.
来源:Tetrahedron Lett 2001,42(12),2321
合成路线图解说明:

An improved synthesis of lodenosine has been reported: The reaction of the chloropurine derivative (I) with trityl chloride and diisopropylamine in DMF gives the 5'-O-trityl-purine (II), which is treated with benzoyl chloride and pyridine in toluene to afford the 3'-O-benzoyl-5'-O-trityl-purine (III) -- some of the 2'-O-benzyl regioisomer is also isolated and is recycled after acyl migration by reaction with TEA. The reaction of purine (III) with trifluoromethanesulfonyl chloride and DMAP in toluene yields the 3'-O-benzoyl-2'-O-sulfonyl-5'-O-trityl-purine (IV), which is treated with HF and TEA to provide the 2'-beta-fluoro-purine (V). The reaction of compound (V) with ammonia in methanol gives the adenosine derivative (VI), which is treated with O-phenyl chlorothioformate and DMAP in pyridine to yield the thiocarbonate (VIII). The deoxygenation of (VIII) is performed with diphenylsilane and AIBN affording 5'-O-trityl-lodenosine (IX), which is finally deprotected with 80% HOAc.

参考文献No.614191
标题:Practical synthesis of 9-(2,3-dideoxy-2-fluoro-beta-D-threo-pentofuranosyl)adenine (FddA) via a purine 3'-deoxynucleoside
作者:Hirose, N.; Takamatsu, S.; Katayama, S.; Naito, M.; Izawa, K.; Maruyama, T.
来源:Tetrahedron Lett 2001,42(12),2325
合成路线图解说明:

A practical synthesis of lodenosine has been reported: Selective tritylation of the chloropurine derivative (I) at the primary OH group by treatment with trityl chloride, TEA and DMAP in DMF gives the 5'-O-trityl ether (II), which is fluorinated with diethylamino sulfur trifluoride (DAST) and pyridine in dichloromethane to yield the 2'-beta-fluoro derivative (III). Reaction of compound (III) with ammonia in THF affords the tritylated lodenosine derivative (IV), which is finally deprotected with 37% HCl in methanol/water.

参考文献No.628466
标题:(2R,3S,5S)-2-Acetoxy-3-fluoro-5-(p-toluoyloxymethyl)tetrahydrofuran: A key intermediate for the practical synthesis of 9-(2,3-dideoxy-2-fluoro-beta-D-threo-pentofuranosyl)adenine (FddA)
作者:Xu, G.Y.; Wang, D.J.; Pierce, M.E.; Choudhury, A.; Nguyen, D.; Jin, F.Q.; Confalona, P.N.; Wang, Z.
来源:Tetrahedron Lett 2001,42(29),4787
合成路线图解说明:

A practical synthetic approach to lodenosine has been developed: Acylation of the chiral carbinol (I) with 4-methylbenzoyl chloride (II) and pyridine in dichloromethane gives the ester (III), which is diastereoselectively hydrogenated with H2 over Pd/C in ethyl acetate to yield the tetrahydrofuranone (IV). Surprisingly, the diastereoselectivity of this reaction depends on the hydrogen pressure: while at 40 psi it is very poor, at 10 psi it increases to 98%. The reduction of lactone (IV) with red-Al and 2-hydroxypyridine in THF at -30 C affords the lactol (V), which is treated with Ac2O and catalytic concentrated H2SO4 to provide the acetate ester (VI). Reaction of compound (VI) with HBr in AcOH gives the bromo derivative (VII), which is condensed with N6-benzoyl adenine (VIII) by means of NaH in refluxing THF to give the acylated adenosine derivative (IX). Finally, this compound is deprotected with NaOMe in refluxing methanol.

参考文献No.671989
标题:9-(2,3-Dideoxy-2-fluoro-beta-D-threo-pentofuranosyl)adenine (FddA) via a purine 3'-deoxynucleoside
作者:Takamatsu, S.; Maruyama, T.; Katayama, S.; Hirose, N.; Naito, M.; Izawa, K.
来源:J Org Chem 2001,66(22),7469
合成路线图解说明:

The reaction of inosine (I) with trimethyl orthoacetate and AcOH, followed by a treatment with acetyl bromide, gives 3'-beta-bromo-3'-deoxyinosine (II), which is debrominated by means of Bu3SnH and AIBN in toluene to yield 3'-deoxyinosine (III). The reaction of (III) with SOCl2 /DMF in refluxing dichloromethane or with POCl3 /TEA in refluxing acetonitrile yields the 6-chloropurine (IV), which is deacetylated with NaOMe in methanol to afford the dihydroxy compound (V). The selective tritylation of the primary OH group of (V) with Tr-Cl and collidine in acetonitrile provides the trityl ether (VI), which is fluorinated with diethylaminosulfur trifluoride (DAST) and pyridine in dichloromethane to give the 3'-beta-fluoro derivative (VII). The reaction of (VII) with ammonia in THF gives the tritylated fluoroadenosine (VIII), which is finally deprotected with HCl in methanol/water to provide the target lodenosine. Alternatively, conversion of (VII) into lodenosine can be performed by first removal of the trityl protecting group with HCl in MeOH/toluene yielding compound (IX), whose chlorine atom is finally displaced with ammonia in MeOH/toluene

合成路线图解说明:

The reaction of inosine (I) with trimethyl orthoacetate and HOAc, followed by a treatment with acetyl bromide, gives 3'-beta-bromo-3'-deoxyinosine (II), which is debrominated by means of Bu3SnH and AIBN in toluene to yield 3'-deoxyinosine (III). The reaction of (III) with SOCl2 /DMF in refluxing dichloromethane or with POCl3 /TEA in refluxing acetonitrile yields the 6-chloropurine (IV), which is regioselectively monodeacetylated with TEA in methanol to afford the hydroxy compound (V). The fluorination of (V) with morpholinosulfur trifluoride (MOST) and pyridine in dichloromethane gives the 3'-beta-fluoro derivative (VI), which is finally deprotected with ammonia in THF to provide the target lodenosine.

参考文献No.714721
标题:A concise synthesis of anti-viral agent F-ddA, starting from (S)-dihydro-5-(hydroxymethyl)-2(3H)-furanone
作者:Choudhury, A.; et al.
来源:Tetrahedron Lett 2003,44(2),247
合成路线图解说明:

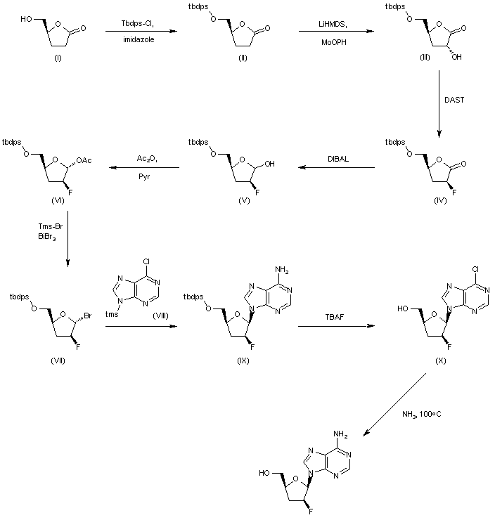
The protection of 5(S)-(hydroxymethyl)tetrahydrofuran-2-one with Tbdps-Cl and imidazole gives the silyl ether (II), which is oxidized by means of LiHMDS and MoOPH in THF to yield 5(R)-(tert-butyldiphenylsilyloxymethyl)-3(R)-hydroxytetrahydrofuran-2-one (III). The fluorination of (III) by means of Et2N-SF3 (DAST) in dichloromethane affords 5(R)-(tert-butyldiphenylsilyloxymethyl)-3(S)-fluorotetrahydrofuran-2-one (IV), which is reduced with DIBAL to provide the alcohol (V). The acylation of (V) with Ac2O and pyridine gives the acetate (VI), which is converted into the bromide (VII) by reaction with Tms-Br and BiBr3. The condensation of (VII) with 6-chloro-9-(trimethylsilyl)purine (VIII) yields the glycosylated chloropurine (IX), which is then desilylated by means of TBAF in THF to afford the chloronucleoside (X). Finally, this compound is treated with ammonia in methanol at 100 C in a pressure vessel to provide the target Lodenosine.

参考文献No.802939
标题:A novel method for the synthesis of ddA and F-ddA via regioselective 2'-O-deacetylation of 9-(2, 5-di-O-acetyl-3-bromo-3-deoxy-beta-D-xylofuranosyl)adenine
作者:Tanaka, Y.; Uchida, Y.; Shiragami, H.; Yukawa, T.; Iwagami, H.; Izawa, K.
来源:Nucleosides Nucleotides 1992,1391-400
合成路线图解说明:

The regioseletive deacetylation of 9-(2,5-diacetoxy-3-bromo-3-deoxy-beta-D-xylofuranosyl)adenine (XVIII) by means of beta-cyclodextrin/NaHCO3 in water or hydrazine monohydrate in ethanol gives 9-(5-acetoxy-3-bromo-3-deoxy-beta-D-xylofuranosyl)adenine (XIX), which is debrominated by hydrogenation over Pd/C in acetonitrile/water, affording 9-(5-acetoxy-3-deoxy-beta-D-xylofuranosyl)adenine (XX). Finally, this compound is fluorinated by means of diethylamido sulfur trifluoride in refluxing dichloromethane, yielding (XXI) and deacetylated with NH3 to the target compound.

Drug Information Express,Drug R&D,Chemical Database,Patent Search.
Copyright © 2006-2026 Drug Future. All rights reserved.Contact Us