【药物名称】Pemirolast potassium, TWT-8152, DE-068, BMY-26517, TBX, Alamast, Alegysal, Pemilaston
化学结构式(Chemical Structure):
参考文献No.802568
标题:A facile and practical synthesis of 9-methyl-3-(1H-tetrazol-5-yl)-4H-pyrido[1,2-a]pyrimidin-4-one
作者:Sumino, M.; Ishihara, M.; Sano, A.; Yoshihara, J.; Nawa, H.
来源:Chem Pharm Bull 1995,43(4),683
合成路线图解说明:

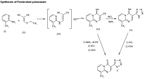
Two related routes for the synthesis of pemirolast potassium have been reported: 1) The condensation of 2-amino-3-methylpyridine (I) with ethoxymethylenemalonodinitrile (II) gives the monocyclic intermediate (III), which is in tautomeric equilibrium with the pyridopyrimidine derivative (IV). The reaction of (IV) with aluminum azide (AlCl3.NaN3) in refluxing THF yields 4-imino-9-methyl-3-(1H-tetrazol-5-yl)-4H-pyrido[1,2-a]pyrimidine (V). Finally, this compound is first hydrolyzed with 1N HCl and then treated with KOH. 2) Compound (IV) can be converted to the final product by a one-pot reaction: (VI) is treated first with NaN3 in refluxing acetic acid, then hydrolyzed with HCl and finally treated with KOH.

Drug Information Express,Drug R&D,Chemical Database,Patent Search.
Copyright © 2006-2026 Drug Future. All rights reserved.Contact Us