【药物名称】GR-63116, M-14659
化学结构式(Chemical Structure):
参考文献No.5226
标题:Cephalosporin derivs.
作者:Ohnishi, H.; Kosuzume, H.; Mizota, M.; Suzuki, Y.; Mochida, E. (Mochida Pharmaceutical Co., Ltd.)
来源:AU 8654876; AU 8655860; EP 0197409; EP 0359291; JP 1987077392; JP 1987161793; JP 1987167784; US 4840945; US 5001121; WO 8605786
合成路线图解说明:

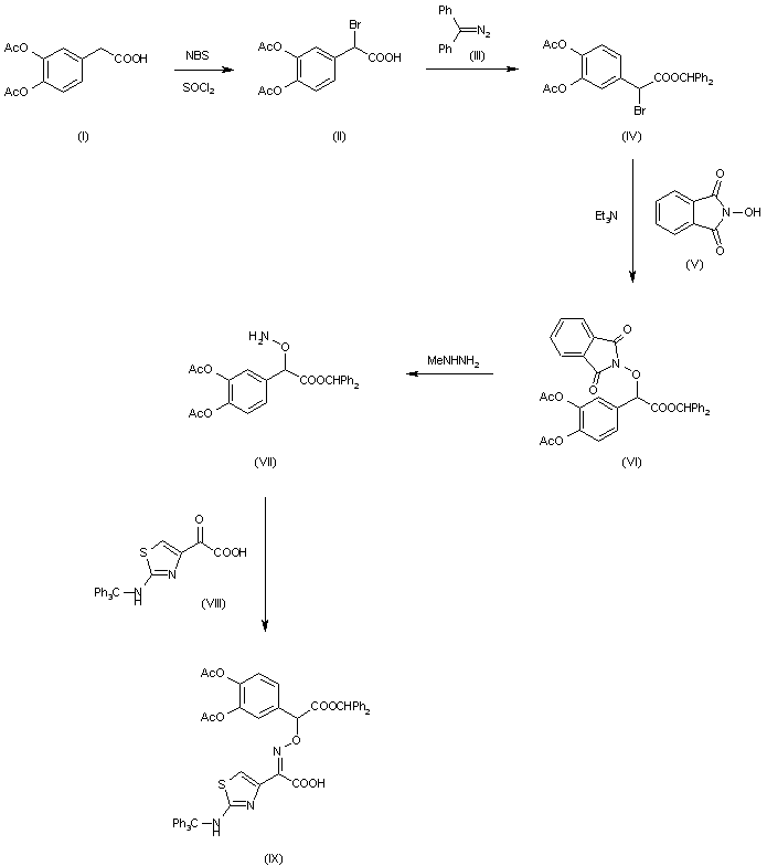
The bromination of 3,4-diacetoxyphenylacetic acid with N-bromosuccinimide (NBS) and SOCl2 gives the corresponding bromoacetic acid (II), which is esterified with diphenyldiazomethane (III) in acetone affording the diphenylmethyl ester (IV). The reaction of (IV) with N-hydroxyphthalimide (V) by means of triethylamine in acetonitrile yields diphenylmethyl-2-phthalimidooxy-2-(3,4-diacetoxy phenyl)acetate (VI), which is treated witb methyl hydrazine in dichloromethane to give diphenylmethyl-2-aminooxy-2-(3,4-diacetoxyphenyl)acetate (VII). The condensation of (VII) with (2-triphenylmethylamino-4-thiazolyl)glyoxylic acid (VIII) in methanol affords 2-(2-triphenylmethylamino-4-thiazolyl)-2-[(Z)-(diphenyl)methoxyimino]acetic acid (IX), which is condensed with 7beta-amino-3-[2-(diphenylmethoxycarbonyl)-5-methyl-s-triazolo[1,5-a]pyrimidin-7-ylthiomethyl]-3-cephem-4-carboxylic acid diphenylmethyl ester (X) by means of dicyclohexylcarbodiimide (DCC) in dichloromethane giving the protected final product (XI). Finally, this compound is deprotected by treatment first with trifluoroacetic acid and then with NaHCO3 in water.

合成路线图解说明:

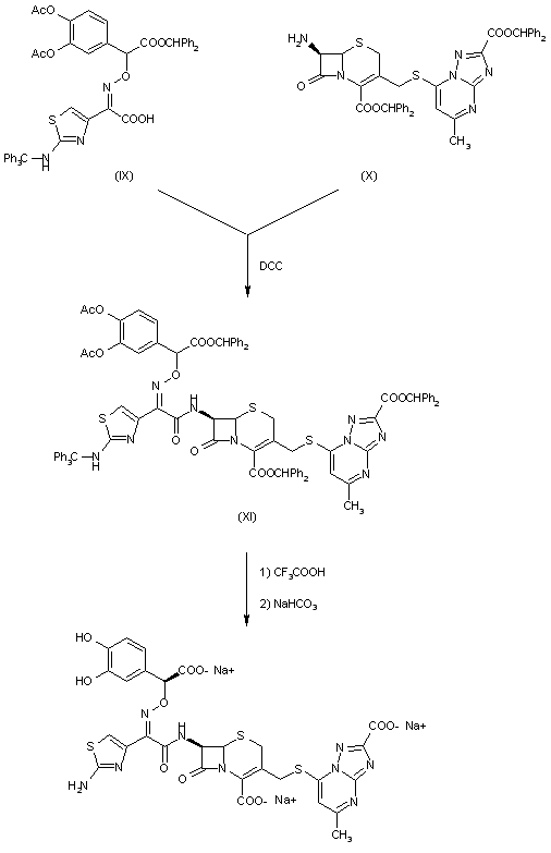
2-[1(S)-(3,4-dihydroxyphenyl)-1-(diphenylmethoxycarbonyl)methoxyimino]-2-[2-(triphenylmethylamino)thiazol-4-yl]-acetic acid (IX) is condensed with 7beta-amino-3-[2-(diphenylmethoxycarbonyl)-5-methyl-s-triazolo[1,5-a]pyrimidin-7-ylthiomethyl]-3-cephem-4-carboxylic acid diphenylmethyl ester (X) by means of dicyclohexylcarbodiimide (DCC) in dichloromethane giving the protected final product (XI). Finally, this compound is deprotected by treatment first with trifluoroacetic acid and then with NaHCO3 in water.

参考文献No.77458
标题:M-14659
作者:Prous, J.; Casta馿r, J.
来源:Drugs Fut 1988,13(12),1047
合成路线图解说明:

The bromination of 3,4-diacetoxyphenylacetic acid with N-bromosuccinimide (NBS) and SOCl2 gives the corresponding bromoacetic acid (II), which is esterified with diphenyldiazomethane (III) in acetone affording the diphenylmethyl ester (IV). The reaction of (IV) with N-hydroxyphthalimide (V) by means of triethylamine in acetonitrile yields diphenylmethyl-2-phthalimidooxy-2-(3,4-diacetoxy phenyl)acetate (VI), which is treated witb methyl hydrazine in dichloromethane to give diphenylmethyl-2-aminooxy-2-(3,4-diacetoxyphenyl)acetate (VII). The condensation of (VII) with (2-triphenylmethylamino-4-thiazolyl)glyoxylic acid (VIII) in methanol affords 2-(2-triphenylmethylamino-4-thiazolyl)-2-[(Z)-(diphenyl)methoxyimino]acetic acid (IX), which is condensed with 7beta-amino-3-[2-(diphenylmethoxycarbonyl)-5-methyl-s-triazolo[1,5-a]pyrimidin-7-ylthiomethyl]-3-cephem-4-carboxylic acid diphenylmethyl ester (X) by means of dicyclohexylcarbodiimide (DCC) in dichloromethane giving the protected final product (XI). Finally, this compound is deprotected by treatment first with trifluoroacetic acid and then with NaHCO3 in water.

合成路线图解说明:

2-[1(S)-(3,4-dihydroxyphenyl)-1-(diphenylmethoxycarbonyl)methoxyimino]-2-[2-(triphenylmethylamino)thiazol-4-yl]-acetic acid (IX) is condensed with 7beta-amino-3-[2-(diphenylmethoxycarbonyl)-5-methyl-s-triazolo[1,5-a]pyrimidin-7-ylthiomethyl]-3-cephem-4-carboxylic acid diphenylmethyl ester (X) by means of dicyclohexylcarbodiimide (DCC) in dichloromethane giving the protected final product (XI). Finally, this compound is deprotected by treatment first with trifluoroacetic acid and then with NaHCO3 in water.

参考文献No.93365
标题:Antibacterial and pharmacokinetic properties of M1
作者:Mochizuki, H.; Oikawa, Y.; Yamada, H.; Kusakabe, S.; Shiihara, T.; Murakami, K.; Kato, K.; Ishigura, J.; Kosuzume, H.
来源:J Antibiot 1988,41(3),377
合成路线图解说明:

The bromination of 3,4-diacetoxyphenylacetic acid with N-bromosuccinimide (NBS) and SOCl2 gives the corresponding bromoacetic acid (II), which is esterified with diphenyldiazomethane (III) in acetone affording the diphenylmethyl ester (IV). The reaction of (IV) with N-hydroxyphthalimide (V) by means of triethylamine in acetonitrile yields diphenylmethyl-2-phthalimidooxy-2-(3,4-diacetoxy phenyl)acetate (VI), which is treated witb methyl hydrazine in dichloromethane to give diphenylmethyl-2-aminooxy-2-(3,4-diacetoxyphenyl)acetate (VII). The condensation of (VII) with (2-triphenylmethylamino-4-thiazolyl)glyoxylic acid (VIII) in methanol affords 2-(2-triphenylmethylamino-4-thiazolyl)-2-[(Z)-(diphenyl)methoxyimino]acetic acid (IX), which is condensed with 7beta-amino-3-[2-(diphenylmethoxycarbonyl)-5-methyl-s-triazolo[1,5-a]pyrimidin-7-ylthiomethyl]-3-cephem-4-carboxylic acid diphenylmethyl ester (X) by means of dicyclohexylcarbodiimide (DCC) in dichloromethane giving the protected final product (XI). Finally, this compound is deprotected by treatment first with trifluoroacetic acid and then with NaHCO3 in water.

合成路线图解说明:

2-[1(S)-(3,4-dihydroxyphenyl)-1-(diphenylmethoxycarbonyl)methoxyimino]-2-[2-(triphenylmethylamino)thiazol-4-yl]-acetic acid (IX) is condensed with 7beta-amino-3-[2-(diphenylmethoxycarbonyl)-5-methyl-s-triazolo[1,5-a]pyrimidin-7-ylthiomethyl]-3-cephem-4-carboxylic acid diphenylmethyl ester (X) by means of dicyclohexylcarbodiimide (DCC) in dichloromethane giving the protected final product (XI). Finally, this compound is deprotected by treatment first with trifluoroacetic acid and then with NaHCO3 in water.

Drug Information Express,Drug R&D,Chemical Database,Patent Search.
Copyright © 2006-2026 Drug Future. All rights reserved.Contact Us