【药物名称】Tazarotene, AGN-190168, Tazoral, Avage, Suretin, Tazorac, Zorac
化学结构式(Chemical Structure):
参考文献No.8998
标题:Disubstd. acetylenes bearing heteroaromatic and heterobicyclic groups having retinoid like activity
作者:Chandraratna, R.A.S. (Allergan, Inc.)
来源:EP 0284288; JP 88255277; JP 95324085
合成路线图解说明:

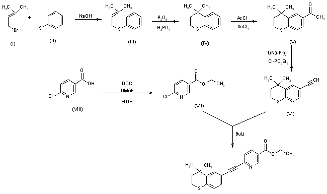
The condensation of thiophenol (II) with 3-methyl-2-butenyl bromide (I) by means of NaOH in refluxing acetone gives 3-methyl-2-butenyl(phenyl)sulfide (III), which is cyclized by means of P2O5 and H3PO4 in refluxing benzene to yield 4,4-dimethyl-3,4-dihydro-1H-1-benzothiopyran (IV). The acylation of (IV) with acetyl chloride catalyzed by SnCl4 in benzene affords the corresponding 6-acetyl derivative (V), which by dehydration with lithium diisopropylamide and diethyl chlorophosphate in THF is converted into 6-ethynyl-4,4-dimethyl-3,4-dihydro-2H-1-benzothiopyran (VI). Finally, this compound is condensed with ethyl 6-chloropyridine-3-carboxylate (VII) by means of butyllithium in THF. The ester (VII) is obtained by esterification of the corresponding acid (VIII) with ethanol by means of dicyclohexylcarbodiimide (DCC) and dimethylaminopyridine (DMAP).

参考文献No.17154
标题:Disubstd. acetylenes bearing heteroaromatic and heterobicyclic groups having retinoid like activity
作者:Chandraratna, R.A.S. (Allergan, Inc.)
来源:US 5089509
合成路线图解说明:

The condensation of thiophenol (II) with 3-methyl-2-butenyl bromide (I) by means of NaOH in refluxing acetone gives 3-methyl-2-butenyl(phenyl)sulfide (III), which is cyclized by means of P2O5 and H3PO4 in refluxing benzene to yield 4,4-dimethyl-3,4-dihydro-1H-1-benzothiopyran (IV). The acylation of (IV) with acetyl chloride catalyzed by SnCl4 in benzene affords the corresponding 6-acetyl derivative (V), which by dehydration with lithium diisopropylamide and diethyl chlorophosphate in THF is converted into 6-ethynyl-4,4-dimethyl-3,4-dihydro-2H-1-benzothiopyran (VI). Finally, this compound is condensed with ethyl 6-chloropyridine-3-carboxylate (VII) by means of butyllithium in THF. The ester (VII) is obtained by esterification of the corresponding acid (VIII) with ethanol by means of dicyclohexylcarbodiimide (DCC) and dimethylaminopyridine (DMAP).

参考文献No.32666
标题:Disubstd. acetylenes bearing heteroaromatic and heterobicyclic groups having retinoid like activity
作者:Chandraratna, R.A. (Allergan, Inc.)
来源:WO 9611686
合成路线图解说明:

The condensation of thiophenol (II) with 3-methyl-2-butenyl bromide (I) by means of NaOH in refluxing acetone gives 3-methyl-2-butenyl(phenyl)sulfide (III), which is cyclized by means of P2O5 and H3PO4 in refluxing benzene to yield 4,4-dimethyl-3,4-dihydro-1H-1-benzothiopyran (IV). The acylation of (IV) with acetyl chloride catalyzed by SnCl4 in benzene affords the corresponding 6-acetyl derivative (V), which by dehydration with lithium diisopropylamide and diethyl chlorophosphate in THF is converted into 6-ethynyl-4,4-dimethyl-3,4-dihydro-2H-1-benzothiopyran (VI). Finally, this compound is condensed with ethyl 6-chloropyridine-3-carboxylate (VII) by means of butyllithium in THF. The ester (VII) is obtained by esterification of the corresponding acid (VIII) with ethanol by means of dicyclohexylcarbodiimide (DCC) and dimethylaminopyridine (DMAP).

参考文献No.399408
标题:Tazarotene
作者:Ngo, J.; Leeson, P.A.; Casta馿r, J.
来源:Drugs Fut 1997,22(3),249
合成路线图解说明:

The condensation of thiophenol (II) with 3-methyl-2-butenyl bromide (I) by means of NaOH in refluxing acetone gives 3-methyl-2-butenyl(phenyl)sulfide (III), which is cyclized by means of P2O5 and H3PO4 in refluxing benzene to yield 4,4-dimethyl-3,4-dihydro-1H-1-benzothiopyran (IV). The acylation of (IV) with acetyl chloride catalyzed by SnCl4 in benzene affords the corresponding 6-acetyl derivative (V), which by dehydration with lithium diisopropylamide and diethyl chlorophosphate in THF is converted into 6-ethynyl-4,4-dimethyl-3,4-dihydro-2H-1-benzothiopyran (VI). Finally, this compound is condensed with ethyl 6-chloropyridine-3-carboxylate (VII) by means of butyllithium in THF. The ester (VII) is obtained by esterification of the corresponding acid (VIII) with ethanol by means of dicyclohexylcarbodiimide (DCC) and dimethylaminopyridine (DMAP).

Drug Information Express,Drug R&D,Chemical Database,Patent Search.
Copyright © 2006-2026 Drug Future. All rights reserved.Contact Us