【药物名称】(R)-Oxaprotiline hydrochloride, Levoprotiline hydrochloride, CGP-12103A
化学结构式(Chemical Structure):
参考文献No.9836
标题:Novel levorotatory basic deriv. of 9, 10-ethaneant
作者:Storni, A. (Novartis AG)
来源:EP 0014433; JP 1991271263; US 5004755
合成路线图解说明:

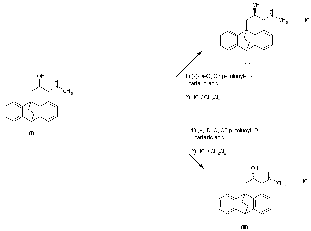
Levoprotiline (II) is the levorotatory R-enantiomer of oxaprotitine (I). It is obtained by resolution of oxaprotitine via its (-)-di-O,O'-p-toluoyl-L-tartaric acid salt, which is then cleaved with hydrogen chloride to levoprotiline hydrochloride (CGP-12 103 A). By an analogous procedure, using (+)-di-O,O'-p-toluoyl-D-tartaric acid, the dextrarotatory S-enantiomer, CGP 12 104 A (III), is gained from oxaprotiline.

参考文献No.72702
标题:Levoprotiline hydrochloride
作者:Hauser, K.; Storni, A.; Maitre, L.
来源:Drugs Fut 1988,13(11),956
合成路线图解说明:

Levoprotiline (II) is the levorotatory R-enantiomer of oxaprotitine (I). It is obtained by resolution of oxaprotitine via its (-)-di-O,O'-p-toluoyl-L-tartaric acid salt, which is then cleaved with hydrogen chloride to levoprotiline hydrochloride (CGP-12 103 A). By an analogous procedure, using (+)-di-O,O'-p-toluoyl-D-tartaric acid, the dextrarotatory S-enantiomer, CGP 12 104 A (III), is gained from oxaprotiline.

Drug Information Express,Drug R&D,Chemical Database,Patent Search.
Copyright © 2006-2026 Drug Future. All rights reserved.Contact Us