【药物名称】Befiperide hydrochloride, DU-29325
化学结构式(Chemical Structure):
参考文献No.72697
标题:Befiperide hydrochloride
作者:Kruse, C.G.; van der Heyden, J.A.M.
来源:Drugs Fut 1988,13(11),939
合成路线图解说明:

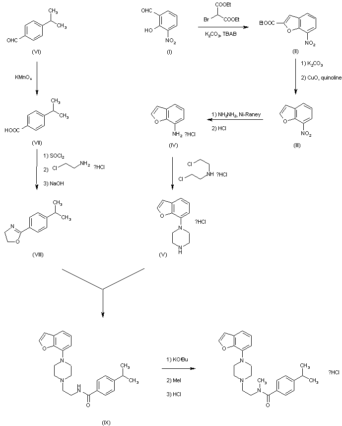
The synthesis of the heteroarylpiperazine part of the molecule begins with 3-nitrosalicylaldehyde (I). Alkylation with diethyl bromomalonate under phase transfer conditions immediately gives the cyclized nitrobenzofuran ethyl ester (II), which is converted to 7-nitrobenzofuran (III) by saponification followed by copper-catalyzed decarboxylation. After chemoselective reduction with hydrazine/Raney Nickel to afford aniline (IV), the benzofuranylpiperazine (V) is obtained by reaction with bis(chloroethyl)amine and isolated as the hydrochloride salt. The benzamide part of befiperide is prepared starting from cumenealdehyde (VI). Permanganate oxidation attords the corresponding carboxylic acid (VII), which is converted to oxazoline (VIII) by a one-pot procedure consisting of consecutive treatment with thionyl chloride, chloroethylamine and sodium hydroxide. Coupling of (V) and (VIII) gives the secondary benzamide (IX), which is converted to befiperide hydrochloride by reaction with potassium tert-butylate, N-methylation of the resulting anion with methyliodide and treatment with hydrochloric acid.

Drug Information Express,Drug R&D,Chemical Database,Patent Search.
Copyright © 2006-2026 Drug Future. All rights reserved.Contact Us