【药物名称】Tosufloxacin tosilate, TN-3262a, T-3262a, T-3262, Tosuxacin, Ozex
化学结构式(Chemical Structure):
参考文献No.95994
标题:TOSUFLOXACIN TOSYLATE < Prop INNM >
作者:Soejima, R.; Shimada, K.
来源:Drugs Fut 1989,14(6),536
合成路线图解说明:

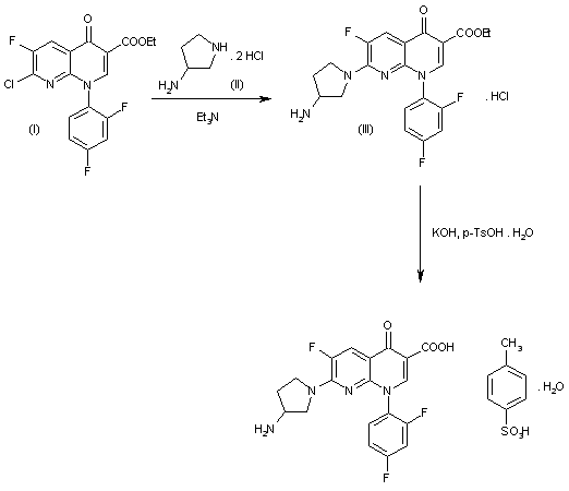
Ethyl 7-chloro-1-(2,4-difluorophenyl)-6-fluoro-1,4-dihydro-4-oxo-1,8-naphthyridine-3-carboxylate (I) is reacted with 3-aminopyrrolidine dihydrochloride (II), and then the resulting mixture is reacted with potassium hydroxide and p-toluenesulfonic acid monohydrate in order to obtain (rac)-7-(3-amino-1-pyrrolidinyl)-6-fluoro-1-(2,4-difluorophenyl)- 1,4-dihydro-4-oxo-1,8-naphthyridine-3-carboxylic acid p-toluenesulfonate hydrate.

参考文献No.107029
标题:Pyridonecarboxylic acids as antibacterial agents IV
作者:Narita, H.; Konishi, Y.; Nitta, J.; Nagaki, H.; Kobayashi, Y.; Watanabe, Y.; Minami, S.; Saikawa, I.
来源:Yakugaku Zasshi 1986,106795
合成路线图解说明:

Ethyl 7-chloro-1-(2,4-difluorophenyl)-6-fluoro-1,4-dihydro-4-oxo-1,8-naphthyridine-3-carboxylate (I) is reacted with 3-aminopyrrolidine dihydrochloride (II), and then the resulting mixture is reacted with potassium hydroxide and p-toluenesulfonic acid monohydrate in order to obtain (rac)-7-(3-amino-1-pyrrolidinyl)-6-fluoro-1-(2,4-difluorophenyl)- 1,4-dihydro-4-oxo-1,8-naphthyridine-3-carboxylic acid p-toluenesulfonate hydrate.

参考文献No.107031
标题:Chemical structure and physicochemical properties of (rac)-7-(3-amino-1-pyrrolidinyl)-6-fluoro-1-(2,4-difluorophenyl)-1,4- dihydro-4-oxo-1,8-naphthyridine-3-carboxylic acid p-toluensulfonate hydrate (T-3262)
作者:Kokei, T.; et al.
来源:Iyakuhin Kenkyu 1988,19682
合成路线图解说明:

Ethyl 7-chloro-1-(2,4-difluorophenyl)-6-fluoro-1,4-dihydro-4-oxo-1,8-naphthyridine-3-carboxylate (I) is reacted with 3-aminopyrrolidine dihydrochloride (II), and then the resulting mixture is reacted with potassium hydroxide and p-toluenesulfonic acid monohydrate in order to obtain (rac)-7-(3-amino-1-pyrrolidinyl)-6-fluoro-1-(2,4-difluorophenyl)- 1,4-dihydro-4-oxo-1,8-naphthyridine-3-carboxylic acid p-toluenesulfonate hydrate.

Drug Information Express,Drug R&D,Chemical Database,Patent Search.
Copyright © 2006-2026 Drug Future. All rights reserved.Contact Us