【药物名称】NKS-01
化学结构式(Chemical Structure):
参考文献No.8897
标题:Novel androst-4-ene-3,17-dione derivs. and process for their preparation
作者:Yoshihama, M.; Tamura, K.; Miyata, N.; Nakayama, S.; Nakakoshi, M. (Snow Brand Milk Products Co., Ltd.)
来源:JP 1988192794; JP 1988192795; JP 1988192796; JP 1988192797; US 4975368; WO 8805781
合成路线图解说明:

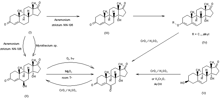
NKS-01 can be obtained by four similar ways: 1) The microbial hydroxylation of 4-androstene-3,17-dione (I) by a culture of Acremonium strictum NN-106 (FERM P-9143) gives 6beta,14alpha-dihydroxy-4-androstene-3,17-dione (II), which is then oxidized, either photochemically with oxygen in CHCl3 under sunlight , with MgO2 at room temperature (2) or with CrO3/H2SO4. 2) The selective microbial hydroxylation of (I) with a culture of Acremonium strictum NN-106 gives 14alpha-hydroxy-4-androstene-3,17-dione (III), which by alkylation of its enolic form is converted into 3-alkoxy-14alpha-hydroxy-3,5-androstadien-17-one (IV) (R = C1-3 alkyl). Finally, (IV) is oxidized with Jones' reagent (CrO3/H2SO4). 3) By oxidation of 3beta,14alpha-dihydroxy-5-androsten-17-one (V) with Jones' reagent (CrO3/H2SO4) in acetone or with K2Cr2O7 in acetic acid. 4) The microbial hydroxylation of (I) by a microorganism of the genus Myrothecium, such as Myrothecium sp. NK-928521 or natural or artificial mutants, gives (II), which is then oxidized with activated MgO2 in CHCl3 at room temperature.

参考文献No.21579
标题:Process for preparing 14alpha-hydroxy-4-androstene-3,6,17-trione
作者:Nakakoshi, M.; Tamura, K.; Yoshihama, M.; Miyata, N. (Snow Brand Milk Products Co., Ltd.)
来源:EP 0382162
合成路线图解说明:

NKS-01 can be obtained by four similar ways: 1) The microbial hydroxylation of 4-androstene-3,17-dione (I) by a culture of Acremonium strictum NN-106 (FERM P-9143) gives 6beta,14alpha-dihydroxy-4-androstene-3,17-dione (II), which is then oxidized, either photochemically with oxygen in CHCl3 under sunlight , with MgO2 at room temperature (2) or with CrO3/H2SO4. 2) The selective microbial hydroxylation of (I) with a culture of Acremonium strictum NN-106 gives 14alpha-hydroxy-4-androstene-3,17-dione (III), which by alkylation of its enolic form is converted into 3-alkoxy-14alpha-hydroxy-3,5-androstadien-17-one (IV) (R = C1-3 alkyl). Finally, (IV) is oxidized with Jones' reagent (CrO3/H2SO4). 3) By oxidation of 3beta,14alpha-dihydroxy-5-androsten-17-one (V) with Jones' reagent (CrO3/H2SO4) in acetone or with K2Cr2O7 in acetic acid. 4) The microbial hydroxylation of (I) by a microorganism of the genus Myrothecium, such as Myrothecium sp. NK-928521 or natural or artificial mutants, gives (II), which is then oxidized with activated MgO2 in CHCl3 at room temperature.

参考文献No.22085
标题:Process for the preparation of 14alpha-hydroxy-4-androsten-3,6,17-trione
作者:Seya, M.; Nakamura, H.; Nakakoshi, M. (Snow Brand Milk Products Co., Ltd.)
来源:JP 1991068596
合成路线图解说明:

NKS-01 can be obtained by four similar ways: 1) The microbial hydroxylation of 4-androstene-3,17-dione (I) by a culture of Acremonium strictum NN-106 (FERM P-9143) gives 6beta,14alpha-dihydroxy-4-androstene-3,17-dione (II), which is then oxidized, either photochemically with oxygen in CHCl3 under sunlight , with MgO2 at room temperature (2) or with CrO3/H2SO4. 2) The selective microbial hydroxylation of (I) with a culture of Acremonium strictum NN-106 gives 14alpha-hydroxy-4-androstene-3,17-dione (III), which by alkylation of its enolic form is converted into 3-alkoxy-14alpha-hydroxy-3,5-androstadien-17-one (IV) (R = C1-3 alkyl). Finally, (IV) is oxidized with Jones' reagent (CrO3/H2SO4). 3) By oxidation of 3beta,14alpha-dihydroxy-5-androsten-17-one (V) with Jones' reagent (CrO3/H2SO4) in acetone or with K2Cr2O7 in acetic acid. 4) The microbial hydroxylation of (I) by a microorganism of the genus Myrothecium, such as Myrothecium sp. NK-928521 or natural or artificial mutants, gives (II), which is then oxidized with activated MgO2 in CHCl3 at room temperature.

参考文献No.32682
标题:Process for production of 6beta,14alpha-dihydroxy-4-androstene-3,17-dione
作者:Yoshioka, H.; Asada, H.; Fujita, S. (Nippon Kayaku Co., Ltd.)
来源:EP 0599658
合成路线图解说明:

NKS-01 can be obtained by four similar ways: 1) The microbial hydroxylation of 4-androstene-3,17-dione (I) by a culture of Acremonium strictum NN-106 (FERM P-9143) gives 6beta,14alpha-dihydroxy-4-androstene-3,17-dione (II), which is then oxidized, either photochemically with oxygen in CHCl3 under sunlight , with MgO2 at room temperature (2) or with CrO3/H2SO4. 2) The selective microbial hydroxylation of (I) with a culture of Acremonium strictum NN-106 gives 14alpha-hydroxy-4-androstene-3,17-dione (III), which by alkylation of its enolic form is converted into 3-alkoxy-14alpha-hydroxy-3,5-androstadien-17-one (IV) (R = C1-3 alkyl). Finally, (IV) is oxidized with Jones' reagent (CrO3/H2SO4). 3) By oxidation of 3beta,14alpha-dihydroxy-5-androsten-17-one (V) with Jones' reagent (CrO3/H2SO4) in acetone or with K2Cr2O7 in acetic acid. 4) The microbial hydroxylation of (I) by a microorganism of the genus Myrothecium, such as Myrothecium sp. NK-928521 or natural or artificial mutants, gives (II), which is then oxidized with activated MgO2 in CHCl3 at room temperature.

参考文献No.221826
标题:Microbial production of two new dihydroxylated androstenedione derivatives by Acremonium strictum
作者:Yoshihama, M.; Nakakoshi, M.; Tamura, K.; Miyata, N.; Kawanishi, G.
来源:J Ferment Bioeng 1989,67(4),238-43
合成路线图解说明:

NKS-01 can be obtained by four similar ways: 1) The microbial hydroxylation of 4-androstene-3,17-dione (I) by a culture of Acremonium strictum NN-106 (FERM P-9143) gives 6beta,14alpha-dihydroxy-4-androstene-3,17-dione (II), which is then oxidized, either photochemically with oxygen in CHCl3 under sunlight , with MgO2 at room temperature (2) or with CrO3/H2SO4. 2) The selective microbial hydroxylation of (I) with a culture of Acremonium strictum NN-106 gives 14alpha-hydroxy-4-androstene-3,17-dione (III), which by alkylation of its enolic form is converted into 3-alkoxy-14alpha-hydroxy-3,5-androstadien-17-one (IV) (R = C1-3 alkyl). Finally, (IV) is oxidized with Jones' reagent (CrO3/H2SO4). 3) By oxidation of 3beta,14alpha-dihydroxy-5-androsten-17-one (V) with Jones' reagent (CrO3/H2SO4) in acetone or with K2Cr2O7 in acetic acid. 4) The microbial hydroxylation of (I) by a microorganism of the genus Myrothecium, such as Myrothecium sp. NK-928521 or natural or artificial mutants, gives (II), which is then oxidized with activated MgO2 in CHCl3 at room temperature.

参考文献No.376472
标题:NKS-01
作者:Graul, A.; Casta馿r, J.
来源:Drugs Fut 1996,21(10),1028
合成路线图解说明:

NKS-01 can be obtained by four similar ways: 1) The microbial hydroxylation of 4-androstene-3,17-dione (I) by a culture of Acremonium strictum NN-106 (FERM P-9143) gives 6beta,14alpha-dihydroxy-4-androstene-3,17-dione (II), which is then oxidized, either photochemically with oxygen in CHCl3 under sunlight , with MgO2 at room temperature (2) or with CrO3/H2SO4. 2) The selective microbial hydroxylation of (I) with a culture of Acremonium strictum NN-106 gives 14alpha-hydroxy-4-androstene-3,17-dione (III), which by alkylation of its enolic form is converted into 3-alkoxy-14alpha-hydroxy-3,5-androstadien-17-one (IV) (R = C1-3 alkyl). Finally, (IV) is oxidized with Jones' reagent (CrO3/H2SO4). 3) By oxidation of 3beta,14alpha-dihydroxy-5-androsten-17-one (V) with Jones' reagent (CrO3/H2SO4) in acetone or with K2Cr2O7 in acetic acid. 4) The microbial hydroxylation of (I) by a microorganism of the genus Myrothecium, such as Myrothecium sp. NK-928521 or natural or artificial mutants, gives (II), which is then oxidized with activated MgO2 in CHCl3 at room temperature.

参考文献No.900013
标题:New manufacturing method for 14alpha-hydroxy-4-androsten-3,6,17-trione
作者:Nakakoshi, M.; Yoshihama, M.; Nakamura, H.; et al. (Snow Brand Milk Products Co., Ltd.)
来源:JP 9307687
合成路线图解说明:

NKS-01 can be obtained by four similar ways: 1) The microbial hydroxylation of 4-androstene-3,17-dione (I) by a culture of Acremonium strictum NN-106 (FERM P-9143) gives 6beta,14alpha-dihydroxy-4-androstene-3,17-dione (II), which is then oxidized, either photochemically with oxygen in CHCl3 under sunlight , with MgO2 at room temperature (2) or with CrO3/H2SO4. 2) The selective microbial hydroxylation of (I) with a culture of Acremonium strictum NN-106 gives 14alpha-hydroxy-4-androstene-3,17-dione (III), which by alkylation of its enolic form is converted into 3-alkoxy-14alpha-hydroxy-3,5-androstadien-17-one (IV) (R = C1-3 alkyl). Finally, (IV) is oxidized with Jones' reagent (CrO3/H2SO4). 3) By oxidation of 3beta,14alpha-dihydroxy-5-androsten-17-one (V) with Jones' reagent (CrO3/H2SO4) in acetone or with K2Cr2O7 in acetic acid. 4) The microbial hydroxylation of (I) by a microorganism of the genus Myrothecium, such as Myrothecium sp. NK-928521 or natural or artificial mutants, gives (II), which is then oxidized with activated MgO2 in CHCl3 at room temperature.

Drug Information Express,Drug R&D,Chemical Database,Patent Search.
Copyright © 2006-2026 Drug Future. All rights reserved.Contact Us