【药物名称】Rivastigmine tartrate, ENA-713, SDZ-212-713, SDZ-ENA-713, Exelon MR, Exelon TDS, Prometax, Exelon
化学结构式(Chemical Structure):
参考文献No.8883
标题:Phenylcarbamate
作者:Enz, A. (Novartis Deutschland GmbH)
来源:AU 8812554; BE 1001467; CH 675720; DE 3805744; FR 2611707; GB 2203040; JP 1988238054; JP 1997118617; JP 1997165362
合成路线图解说明:

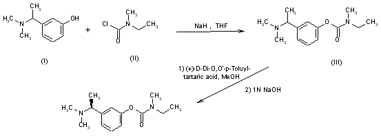
Reaction of 3-[1-(dimethylamino)ethyl]phenol (I) with N-ethyl-N-methylcarbamoyl chloride (II) and sodium hydride in tetrahydrofuran gives racemic N-ethyl-N-methylcarbamic acid 3-[1-(dimethylamino)ethyl]phenyl ester (III), which is resolved by recrystallization with (+)-D-di-O,O'-(p-toluoyl)tartaric acid in methanol followed by treatment with base.

参考文献No.257261
标题:SDZ-ENA-713
作者:Rabasseda, X.; Casta馿r, J.; Prous, J.
来源:Drugs Fut 1994,19(7),656
合成路线图解说明:

Reaction of 3-[1-(dimethylamino)ethyl]phenol (I) with N-ethyl-N-methylcarbamoyl chloride (II) and sodium hydride in tetrahydrofuran gives racemic N-ethyl-N-methylcarbamic acid 3-[1-(dimethylamino)ethyl]phenyl ester (III), which is resolved by recrystallization with (+)-D-di-O,O'-(p-toluoyl)tartaric acid in methanol followed by treatment with base.

参考文献No.259952
标题:Cyclic phenyl-carbamates of the myotin-type and their action on acetylcholinesterase
作者:Amstutz, R.; Walkinshaw, M.; Marzi, M.; Enz, A.; Boelsterli, J.
来源:Helv Chim Acta 1990,73739-53
合成路线图解说明:

Reaction of 3-[1-(dimethylamino)ethyl]phenol (I) with N-ethyl-N-methylcarbamoyl chloride (II) and sodium hydride in tetrahydrofuran gives racemic N-ethyl-N-methylcarbamic acid 3-[1-(dimethylamino)ethyl]phenyl ester (III), which is resolved by recrystallization with (+)-D-di-O,O'-(p-toluoyl)tartaric acid in methanol followed by treatment with base.

Drug Information Express,Drug R&D,Chemical Database,Patent Search.
Copyright © 2006-2026 Drug Future. All rights reserved.Contact Us