【药物名称】DS-4574
化学结构式(Chemical Structure):
参考文献No.8864
标题:Tricyclic triazolopyrimidine derivatives
作者:Isoda, S.; Aibara, S.; Miwa, T.; Fujiwara, H.; Yokohama, S.; Matsumoto, H. (Daiichi Pharmaceutical Co., Ltd.)
来源:AU 9052298; EP 0279298; JP 1989000086; JP 1989006264; US 4898943
合成路线图解说明:

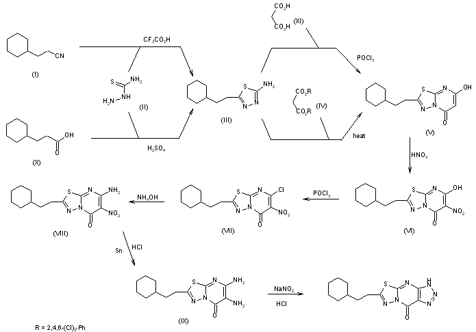
This compound can be obtained by two related ways: 1) The cyclization of 3-cyclohexylpropionitrile (I) with thiosemicarbazide (II) by means of trifluoroacetic acid gives 5-(2-cyclohexylethyl)-1,3,4-thiadiazol-2-amino (III), which is submitted to a new cyclization process with bis(2,4,6-trichlorophenyl)malonate (IV) in refluxing xylene yielding 2-(2-cyclohexylethyl)-7-hydroxy-5H-1,3,4-thiadiazolo[3,2-a]pyrimidin-5-one (V) (1-3). The nitration of (V) with fuming nitric acid in acetic acid affords the corresponding 7-hydroxy-6-nitro derivative (VI), which is treated with POCl3 and tripropylamine to afford the 7-chloro-6-nitro derivative (VII). The reaction of (VII) with concentrated aqueous NH4OH in ethanol gives the corresponding 7-amino-6-nitro compound (VIII), which is reduced with Sn-HCl in dioxane-water to afford the 6,7-diamino derivative (IX). Finally, this compound is dissolved in aqueous HCl and treated with NaNO2. 2) The cyclization of 3-cyclohexylpropionic acid (X) with thiosemicarbazide (II) by means of hot H2SO4 gives the thiadiazole (III), which is cyclized again with malonic acid (XI) by means of POCl3 in hot toluene to afford the previously obtained thiadiazolopyrimidine (V).

参考文献No.24670
标题:Agents for treatment of gastrointestinal diseases
作者:Narabayashi, Y. (Daiichi Pharmaceutical Co., Ltd.)
来源:JP 1990138216
合成路线图解说明:

This compound can be obtained by two related ways: 1) The cyclization of 3-cyclohexylpropionitrile (I) with thiosemicarbazide (II) by means of trifluoroacetic acid gives 5-(2-cyclohexylethyl)-1,3,4-thiadiazol-2-amino (III), which is submitted to a new cyclization process with bis(2,4,6-trichlorophenyl)malonate (IV) in refluxing xylene yielding 2-(2-cyclohexylethyl)-7-hydroxy-5H-1,3,4-thiadiazolo[3,2-a]pyrimidin-5-one (V) (1-3). The nitration of (V) with fuming nitric acid in acetic acid affords the corresponding 7-hydroxy-6-nitro derivative (VI), which is treated with POCl3 and tripropylamine to afford the 7-chloro-6-nitro derivative (VII). The reaction of (VII) with concentrated aqueous NH4OH in ethanol gives the corresponding 7-amino-6-nitro compound (VIII), which is reduced with Sn-HCl in dioxane-water to afford the 6,7-diamino derivative (IX). Finally, this compound is dissolved in aqueous HCl and treated with NaNO2. 2) The cyclization of 3-cyclohexylpropionic acid (X) with thiosemicarbazide (II) by means of hot H2SO4 gives the thiadiazole (III), which is cyclized again with malonic acid (XI) by means of POCl3 in hot toluene to afford the previously obtained thiadiazolopyrimidine (V).

参考文献No.24671
标题:Antiallergic and antiinflammatory agents
作者:Aihara, S. (Daiichi Pharmaceutical Co., Ltd.)
来源:JP 1990138215
合成路线图解说明:

This compound can be obtained by two related ways: 1) The cyclization of 3-cyclohexylpropionitrile (I) with thiosemicarbazide (II) by means of trifluoroacetic acid gives 5-(2-cyclohexylethyl)-1,3,4-thiadiazol-2-amino (III), which is submitted to a new cyclization process with bis(2,4,6-trichlorophenyl)malonate (IV) in refluxing xylene yielding 2-(2-cyclohexylethyl)-7-hydroxy-5H-1,3,4-thiadiazolo[3,2-a]pyrimidin-5-one (V) (1-3). The nitration of (V) with fuming nitric acid in acetic acid affords the corresponding 7-hydroxy-6-nitro derivative (VI), which is treated with POCl3 and tripropylamine to afford the 7-chloro-6-nitro derivative (VII). The reaction of (VII) with concentrated aqueous NH4OH in ethanol gives the corresponding 7-amino-6-nitro compound (VIII), which is reduced with Sn-HCl in dioxane-water to afford the 6,7-diamino derivative (IX). Finally, this compound is dissolved in aqueous HCl and treated with NaNO2. 2) The cyclization of 3-cyclohexylpropionic acid (X) with thiosemicarbazide (II) by means of hot H2SO4 gives the thiadiazole (III), which is cyclized again with malonic acid (XI) by means of POCl3 in hot toluene to afford the previously obtained thiadiazolopyrimidine (V).

参考文献No.190653
标题:Synthesis and antiallergy activity of [1,3,4]thiadiazolo[3,2-a]-1,2,3-triazolo[4,5-d]pyrimidin-9(3H)-one derivatives. II. 6-Alkyl- and 6-cycloalkylalkyl derivatives
作者:Miwa, T.; Fujiwara, H.; Mori, M.; Moroi, R.; Aibara, S.; Iwamoto, T.; Tsukada, W.; Nakayama, K.; Matsumoto, H.; Yokohama, S.; et al.
来源:Chem Pharm Bull 1992,40(9),2391-8
合成路线图解说明:

This compound can be obtained by two related ways: 1) The cyclization of 3-cyclohexylpropionitrile (I) with thiosemicarbazide (II) by means of trifluoroacetic acid gives 5-(2-cyclohexylethyl)-1,3,4-thiadiazol-2-amino (III), which is submitted to a new cyclization process with bis(2,4,6-trichlorophenyl)malonate (IV) in refluxing xylene yielding 2-(2-cyclohexylethyl)-7-hydroxy-5H-1,3,4-thiadiazolo[3,2-a]pyrimidin-5-one (V) (1-3). The nitration of (V) with fuming nitric acid in acetic acid affords the corresponding 7-hydroxy-6-nitro derivative (VI), which is treated with POCl3 and tripropylamine to afford the 7-chloro-6-nitro derivative (VII). The reaction of (VII) with concentrated aqueous NH4OH in ethanol gives the corresponding 7-amino-6-nitro compound (VIII), which is reduced with Sn-HCl in dioxane-water to afford the 6,7-diamino derivative (IX). Finally, this compound is dissolved in aqueous HCl and treated with NaNO2. 2) The cyclization of 3-cyclohexylpropionic acid (X) with thiosemicarbazide (II) by means of hot H2SO4 gives the thiadiazole (III), which is cyclized again with malonic acid (XI) by means of POCl3 in hot toluene to afford the previously obtained thiadiazolopyrimidine (V).

参考文献No.268132
标题:DS-4574
作者:Rabasseda, X.; Casta馿r, J.; Mealy, N.
来源:Drugs Fut 1994,19(10),901
合成路线图解说明:

This compound can be obtained by two related ways: 1) The cyclization of 3-cyclohexylpropionitrile (I) with thiosemicarbazide (II) by means of trifluoroacetic acid gives 5-(2-cyclohexylethyl)-1,3,4-thiadiazol-2-amino (III), which is submitted to a new cyclization process with bis(2,4,6-trichlorophenyl)malonate (IV) in refluxing xylene yielding 2-(2-cyclohexylethyl)-7-hydroxy-5H-1,3,4-thiadiazolo[3,2-a]pyrimidin-5-one (V) (1-3). The nitration of (V) with fuming nitric acid in acetic acid affords the corresponding 7-hydroxy-6-nitro derivative (VI), which is treated with POCl3 and tripropylamine to afford the 7-chloro-6-nitro derivative (VII). The reaction of (VII) with concentrated aqueous NH4OH in ethanol gives the corresponding 7-amino-6-nitro compound (VIII), which is reduced with Sn-HCl in dioxane-water to afford the 6,7-diamino derivative (IX). Finally, this compound is dissolved in aqueous HCl and treated with NaNO2. 2) The cyclization of 3-cyclohexylpropionic acid (X) with thiosemicarbazide (II) by means of hot H2SO4 gives the thiadiazole (III), which is cyclized again with malonic acid (XI) by means of POCl3 in hot toluene to afford the previously obtained thiadiazolopyrimidine (V).

Drug Information Express,Drug R&D,Chemical Database,Patent Search.
Copyright © 2006-2026 Drug Future. All rights reserved.Contact Us