【药物名称】Technetium (99mTc) bicisate, Technetium Tc99m bicisate, RP-217(diHCl), ECD-[99mTc], [99mTc]-ECD, Neurolite
化学结构式(Chemical Structure):
参考文献No.8855
标题:Ester-substd. diaminedithiols and radiolabeled complexes thereof
作者:Bergstein, P.L.; Cheesman, E.H.; Watson, A.D. (DuPont Pharmaceuticals Co.)
来源:AU 8811748; EP 0279417; JP 1988285549
合成路线图解说明:

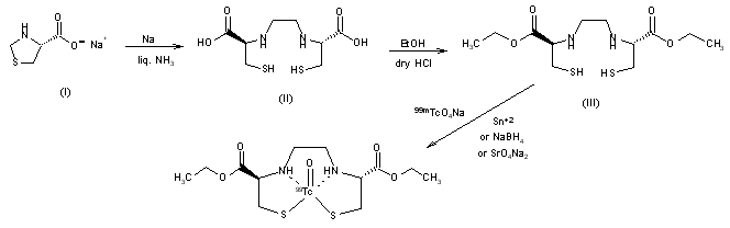
The reductive dimerization of thiazolidine-4(R)-carboxylic acid sodium salt (I) with Na in liquid ammonia gives N,N-ethylene-1,2-diylbis(cysteine) (II), which is esterified with ethanol and dry HCl to the corresponding diethyl ester (III). Finally, this compound is treated with sodium pertechnetate and a reducing agent such as stannous salts, NaBH4 or Na2S2O4.

参考文献No.288017
标题:Technetium (Tc99m) Bicisate
作者:Casta馿r, J.; Robinson, C.
来源:Drugs Fut 1995,20(3),251
合成路线图解说明:

The reductive dimerization of thiazolidine-4(R)-carboxylic acid sodium salt (I) with Na in liquid ammonia gives N,N-ethylene-1,2-diylbis(cysteine) (II), which is esterified with ethanol and dry HCl to the corresponding diethyl ester (III). Finally, this compound is treated with sodium pertechnetate and a reducing agent such as stannous salts, NaBH4 or Na2S2O4.

Drug Information Express,Drug R&D,Chemical Database,Patent Search.
Copyright © 2006-2026 Drug Future. All rights reserved.Contact Us