【药物名称】MDL-27695
化学结构式(Chemical Structure):
参考文献No.151172
标题:MDL 27,695
作者:Baumann, R.J.; Bitonti, A.J.; Edwards, M.L.
来源:Drugs Fut 1991,16(10),908
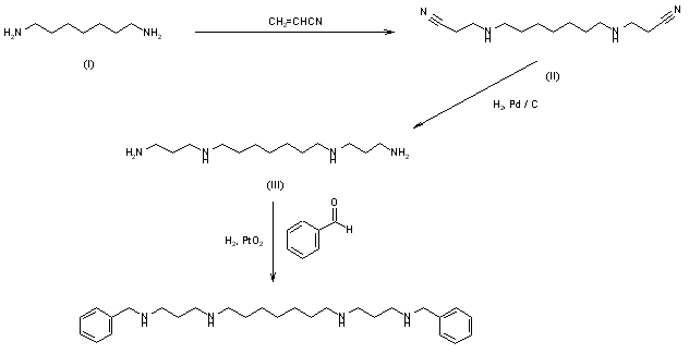
合成路线图解说明:

Reaction of 1,7-diaminoheptane with acrylonitrile gives the dinitrile (II). Reduction of the nitrile functionality yields the tetraamine (III). Reductive alkylation gives the dibenzyltetraamine MDL 27,695.

参考文献No.157716
标题:Antimalarial polyamine analogs
作者:Dumont, J.A.; Stemerick, D.M.; Sjoerdsma, A.; McCann, P.P.; Edwards, M.L.; Bitonti, A.J.
来源:J Med Chem 1991,34(2),569-74
合成路线图解说明:

Reaction of 1,7-diaminoheptane with acrylonitrile gives the dinitrile (II). Reduction of the nitrile functionality yields the tetraamine (III). Reductive alkylation gives the dibenzyltetraamine MDL 27,695.

Drug Information Express,Drug R&D,Chemical Database,Patent Search.
Copyright © 2006-2026 Drug Future. All rights reserved.Contact Us