【药物名称】Israpafant, Y-24180, Pafnol
化学结构式(Chemical Structure):
参考文献No.8292
标题:PAF-antagonistic thienotriazolodiazepine compounds and pharmaceutical uses thereof
作者:Tahara, T.; Moriwaki, M.; Abe, M.; Yuasa, S. (Welfide Corporation)
来源:EP 0268242; JP 1989156982; US 4820703
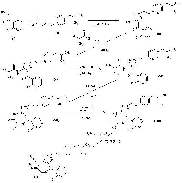
合成路线图解说明:

Reaction of 2-(2-chlorobenzoyl)acetonitrile (I) with 4-(4-isobutylphenyl)butyraldehyde (II) and sulfur in DMF/NEt3 gives 2-amino-3-(2-chlorobenzoyl)-5-[2-(4-isobutylphenyl)ethyl]thiophene (III), which is acylated with 2-chloropropionyl chloride (IV) in chloroform to give 2-(2-chloropropionamido)-3-(2-chlorobenzoyl)-5-[2-(4-isobutylphenyl) ethyl]thiophene (V). Compound (V) is treated with sodium iodide in THF followed by liquid ammonia to give 2-(2-aminopropionamido)-3-(2-chlorobenzoyl)-5-[2-(4-isobutylphenyl) ethyl]thiophene (VI), which is cyclized in isopropanol and acetic acid to give 5-(2-chlorophenyl)-5-[2-(4-isobutylphenyl)ethyl]-3-methyl-2,3-dihydro-1H-thieno[2,3-e]-1,4-diazepin-2-one (VII). Compound (VII) gives 5-(2-chlorophenyl)-7-[2-(4-isobutylphenyl)ethyl]-3-methyl-2,3-dihydro-1H-thieno[2,3-e]-1,4-diazepin-2-thione (VIII) upon treatment with Lawesson's reagent. Finally, (VIII) is cyclized with hydrazine hydrate and ethyl orthoformiate.

参考文献No.226914
标题:Y-24180
作者:Casta馿r, J.; Prous, J.; Mealy, N.
来源:Drugs Fut 1993,18(11),1016
合成路线图解说明:

Reaction of 2-(2-chlorobenzoyl)acetonitrile (I) with 4-(4-isobutylphenyl)butyraldehyde (II) and sulfur in DMF/NEt3 gives 2-amino-3-(2-chlorobenzoyl)-5-[2-(4-isobutylphenyl)ethyl]thiophene (III), which is acylated with 2-chloropropionyl chloride (IV) in chloroform to give 2-(2-chloropropionamido)-3-(2-chlorobenzoyl)-5-[2-(4-isobutylphenyl) ethyl]thiophene (V). Compound (V) is treated with sodium iodide in THF followed by liquid ammonia to give 2-(2-aminopropionamido)-3-(2-chlorobenzoyl)-5-[2-(4-isobutylphenyl) ethyl]thiophene (VI), which is cyclized in isopropanol and acetic acid to give 5-(2-chlorophenyl)-5-[2-(4-isobutylphenyl)ethyl]-3-methyl-2,3-dihydro-1H-thieno[2,3-e]-1,4-diazepin-2-one (VII). Compound (VII) gives 5-(2-chlorophenyl)-7-[2-(4-isobutylphenyl)ethyl]-3-methyl-2,3-dihydro-1H-thieno[2,3-e]-1,4-diazepin-2-thione (VIII) upon treatment with Lawesson's reagent. Finally, (VIII) is cyclized with hydrazine hydrate and ethyl orthoformiate.

参考文献No.377494
标题:Structural optimization of 4-(2-chlorophenyl)-9-methyl-6H-thieno[3,2-f][1, 2,4]triazolo[4,3-a][1,4]diazepines as antagonists for platelet activating factor: Pharmacological contribution of substituents at the 2- and 6-positions of a condensed ring system
作者:Kawakami, Y.; Moriwaki, M.; Kitani, H.; Kagoshima, M.; Abe, M.; Tahara, T.; Terasawa, M.; Yuasa, S.
来源:Eur J Med Chem 1996,31(9),683
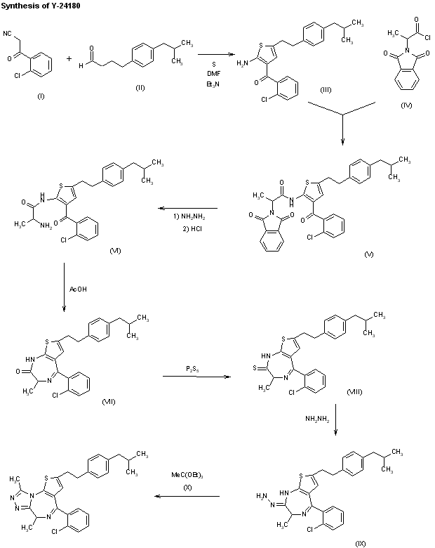
合成路线图解说明:

A new synthesis of Y-24180 has been published: The reaction of 2-(2-chlorobenzoyl)acetonitrile (I) with 4-(4-isobutylphenyl)butyraldehyde (II) and sulfur by means of triethylamine in DMF gives the benzoylthiophene (III), which is condensed with 2-phthalimidopropionyl chloride (IV) yielding the propionamidothiophene (V). Elimination of the phthalimido group of (V) first with hydrazine and then with HCl affords the alanylaminothiophene (VI), which is cyclized by means of acetic acid giving 5-(2-chlorophenyl)-7-[2-(4-isobutylphenyl)ethyl]-3-methyl-2,3-dihydro-1 H-thieno[3,2-f][1,4]diazepin-2-one (VII). The reaction of (VII) with P2S5 yields the corresponding thioketone (VIII), which by reaction with hydrazine is converted into the hydrazone (IX). Finally, this compound is cyclized with triethyl orthoacetate (X).

Drug Information Express,Drug R&D,Chemical Database,Patent Search.
Copyright © 2006-2026 Drug Future. All rights reserved.Contact Us