【药物名称】Bromfenac sodium, AHR-10282B, AHR-10282(anhydrous), Xibrom, Bronuck, Duract
化学结构式(Chemical Structure):
参考文献No.832
标题:2-Aminophenylacetic acid derivs.
作者:Moran, H.W.; Welstead, W.J. Jr. (A.H. Robins Co. Inc.)
来源:US 4126635
合成路线图解说明:

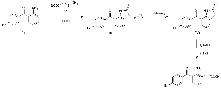
The cyclization of 2-amino-4'-bromobenzophenone (I) with ethyl 2-(methylthio)acetate (II) by means of tert-butyl hypochlorite in dichloromethane at 70 C gives 7-(4-bromobenzoyl)-3-(methylthio)-2,3-dihydro-1H-indol-2-one (III), which is desulfurized by a treatment with Raney Nickel in THF yielding 7-(4-bromobenzoyl)-2,3-dihydro-1H-indol-2-one (IV). Finally, this compound is hydrolyzed with refluxing 3N NaOH and acidified with concentrated HCl.

参考文献No.66929
标题:Anti-inflammatory agents. 3. Synthesis and pharmac
作者:Walsh, D.A.; Moran, H.W.; Shamblee, D.A.; Uwaydah, I.M.; Welstead, W.J. Jr.; Sancilio, L.F.; Dannenburg, W.N.
来源:J Med Chem 1984,27(11),1379-88
合成路线图解说明:

The cyclization of 2-amino-4'-bromobenzophenone (I) with ethyl 2-(methylthio)acetate (II) by means of tert-butyl hypochlorite in dichloromethane at 70 C gives 7-(4-bromobenzoyl)-3-(methylthio)-2,3-dihydro-1H-indol-2-one (III), which is desulfurized by a treatment with Raney Nickel in THF yielding 7-(4-bromobenzoyl)-2,3-dihydro-1H-indol-2-one (IV). Finally, this compound is hydrolyzed with refluxing 3N NaOH and acidified with concentrated HCl.

参考文献No.66932
标题:BROMFENAC SODIUM < Rec INNM; USAN >
作者:Prous, J.; Casta馿r, J.
来源:Drugs Fut 1988,13(11),943
合成路线图解说明:

The cyclization of 2-amino-4'-bromobenzophenone (I) with ethyl 2-(methylthio)acetate (II) by means of tert-butyl hypochlorite in dichloromethane at 70 C gives 7-(4-bromobenzoyl)-3-(methylthio)-2,3-dihydro-1H-indol-2-one (III), which is desulfurized by a treatment with Raney Nickel in THF yielding 7-(4-bromobenzoyl)-2,3-dihydro-1H-indol-2-one (IV). Finally, this compound is hydrolyzed with refluxing 3N NaOH and acidified with concentrated HCl.

Drug Information Express,Drug R&D,Chemical Database,Patent Search.
Copyright © 2006-2026 Drug Future. All rights reserved.Contact Us