【药物名称】Miltefosine, Hexadecylphosphocholine, HDPC, D-18506, Impavido, Miltex
化学结构式(Chemical Structure):
参考文献No.70582
标题:Hexadecylphosphocholine, a new antineoplastic agent: cytotoxic properties in leukaemic cells
作者:Kin, D.J.; Unger, C.; Berger, M.R.; Fleer, E.A.M.; Nagel, G.A.; Eibl, H.
来源:J Cancer Res Clin Oncol 1986,11124
合成路线图解说明:

In scheme 14476001a hexadecanol is reacted with phosphoroxy chloride in the presence of triethylamine in tetrahydrofuran with subsequent condensation with ethanolamine in dioxane/triethylamine. Hydrolysis with aqueous hydrochloric acid and methylation with dimethyl sulfate in the presence of potassium carbonate yields hexadecyl phosphocholine.

参考文献No.72699
标题:Hexadecylphocholine
作者:Schumacher, W.; Unger, C.; Berger, M.R.; Hilgard, P.; Eibl, H.J.; Schm鋒l, D.; Stekar, J.; Engel, J.; Nagel, G.
来源:Drugs Fut 1988,13(11),948
合成路线图解说明:

In scheme 14476001a hexadecanol is reacted with phosphoroxy chloride in the presence of triethylamine in tetrahydrofuran with subsequent condensation with ethanolamine in dioxane/triethylamine. Hydrolysis with aqueous hydrochloric acid and methylation with dimethyl sulfate in the presence of potassium carbonate yields hexadecyl phosphocholine.

参考文献No.197659
标题:Synthesis of hexadecylphospho[methyl-14C]-choline
作者:Wild, H.; eilen, C.C.; Samson, A.; Wieder, T.; Reutter, W.
来源:J Label Compd Radiopharm 1992,31(12),1071
合成路线图解说明:

The synthesis of [14C]-labeled hexadecylphosphocholine has been described: By condensation of [14C]-labeled phosphocholine (I) with hexadecyl bromide (II) by means of tetrabutylammonium hydroxide in acetonitrile. The same method is used to obtain unlabeled hexadecylphosphocholine.

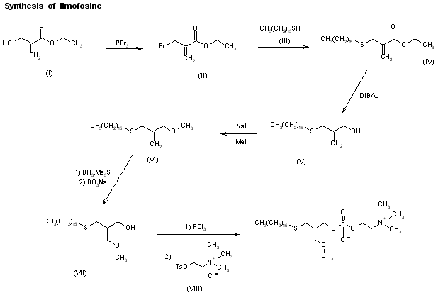
参考文献No.267804
标题:Antitumor ether lipids: An improved synthesis of ilmofosine and an enantioselective synthesis of an ilmofosine analog
作者:Reddy, K.C.; Byun, H.S.; Bittman, R.
来源:Tetrahedron Lett 1994,35(17),2679
合成路线图解说明:

An improved synthesis of ilmofosine has been reported: The reaction of 2-(hydroxymethyl)-2-propenoic acid ethyl ester (I) with PBr3 in ethyl ether gives the corresponding 2-bromomethyl derivative (II), which is condensed with hexadecylthiol (III) by means of triethylamine to afford 2-(hexadecylsulfanyl)-2-propenoic acid ethyl ester (IV). The reduction of (IV) with diisobutylaluminum hydride (DIBAL) yields 3-(hexadecylsulfanyl)-2-methylene-1-propanol (V), which is methylated with NaH and MeI to the methyl ether (VI). The hydroboration of (VI) with BH3.S(CH3)2 followed by oxidation with NaBO3 gives 3-(hexadecylsulfanyl)-2-(methoxymethyl)-1-propanol (VII), which is finally phosphorylated with PCl3 and condensed with choline p-toluenesulfonate (VIII).

合成路线图解说明:

The reaction of 2-(hydroxymethyl)propenoic acid ethyl ester (I) with PBr3 and then with hexadecyl mercaptane (II) and TEA gives 2-(hexadecylsulfanylmethyl)propenoic acid methyl ester (III), which is reduced with DIBAL in THF to the corresponding carbinol (IV). The methylation of (IV) with methyl iodide and NaH in THF affords the methyl ether (V), which is hydroxylated at the double bond with BH3/Me2S and NaBO3 providing 3-(hexadecylsulfanyl)-2-(methoxymethyl)-1-propanol (VI). Finally this compound is treated with POCl3 and TEA in chloroform and condensed with choline tosylate (VII) to furnish the target phosphorylcholine derivative.

合成路线图解说明:

The reaction of hexadecanol (I) with the cyclic chlorophosphate ester (II) and DIEA in dichloromethane gives the cyclic hexadecyl phosphate (III), which is brominated with Br2 in the same solvent to yield the mixed 2-bromoethyl hexadecyl bromophosphate ester (IV). Finally this compound is condensed with trimethylamine in acetonitrile/isopropanol/chloroform to furnish the target phosphorylcholine ester.

参考文献No.803827
标题:D-21266, ein neues Alkylphospholipid mit hoder antineoplasticher Wirkung und verbessertem therapeutischen Index
作者:N鰏sner, G.; Stekar, J.; Hilgard, P.; et al.
来源:ASTA Medica 1993,
合成路线图解说明:

The reaction of hexadecanol (I) with the cyclic chlorophosphate ester (II) and TEA in tert-butyl methyl ether gives the cyclic hexadecyl phosphate (III), which is condensed with TEA in hot acetonitrile to afford the target phosphorylcholine ester.

参考文献No.803828
标题:Antitumor ether lipids and alkylphosphocholines
作者:Bittman, R.; Lohmeyer, M.
来源:Drugs Fut 1994,19(11),1021
合成路线图解说明:

The reaction of (R)-O-benzylglycidol (I) with octadecanol (II) by means of NaH in hot DMF gives (R)-1-(benzyloxy)-3-(octadecyloxy)-2-propanol (III), which is methylated with methyl iodide and NaH in DMF yielding the corresponding methyl ether (IV). The debenzylation of (IV) with H2 over Pd/C in THF affords the primary alcohol (V), which is finally treated with POCl3/pyridine in CHCl3 and condensed with choline tosylate (VI) to furnish the target phosphorylcholine derivative.

合成路线图解说明:

The reaction of 2-(hydroxymethyl)propenoic acid ethyl ester (I) with PBr3 and then with hexadecyl mercaptane (II) and TEA gives 2-(hexadecylsulfanylmethyl)propenoic acid methyl ester (III), which is reduced with DIBAL in THF to the corresponding carbinol (IV). The methylation of (IV) with methyl iodide and NaH in THF affords the methyl ether (V), which is hydroxylated at the double bond with BH3/Me2S and NaBO3 providing 3-(hexadecylsulfanyl)-2-(methoxymethyl)-1-propanol (VI). Finally this compound is treated with POCl3 and TEA in chloroform and condensed with choline tosylate (VII) to furnish the target phosphorylcholine derivative.

合成路线图解说明:

The reaction of hexadecanol (I) with the cyclic chlorophosphate ester (II) and TEA in tert-butyl methyl ether gives the cyclic hexadecyl phosphate (III), which is condensed with TEA in hot acetonitrile to afford the target phosphorylcholine ester.

合成路线图解说明:

The reaction of hexadecanol (I) with the cyclic chlorophosphate ester (II) and DIEA in dichloromethane gives the cyclic hexadecyl phosphate (III), which is brominated with Br2 in the same solvent to yield the mixed 2-bromoethyl hexadecyl bromophosphate ester (IV). Finally this compound is condensed with trimethylamine in acetonitrile/isopropanol/chloroform to furnish the target phosphorylcholine ester.

Drug Information Express,Drug R&D,Chemical Database,Patent Search.
Copyright © 2006-2026 Drug Future. All rights reserved.Contact Us