【药物名称】Tedisamil hydrochloride, KC-8857, Tedangin
化学结构式(Chemical Structure):
参考文献No.9151
标题:New 3,7-diazabicylo[3.3.1]nonanes
作者:Sh鰊, U.; Hachmeister, B.; Kehrbach, W.; K黨l, U.; Buschmann, G. (Kali-Chemie AG)
来源:DE 3234697; EP 0103833; JP 1993247039
合成路线图解说明:

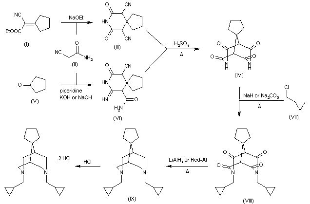
Treatment of ethyl cyanoacetate derivative (I) with cyanoacetamide (II) in EtOH in the presence of NaOEt provides dicyano derivative (III), which is then converted into diimide (IV) by treatment with refluxing sulfuric acid. Alternatively, (IV) can also be obtained by reaction between cyclopentanone (V), cyanoacetamide (II) and piperidine by means of KOH or NaOH in H2O (or H2O/EtOH) to provide mononitrile derivative (VI), which is then refluxed with H2SO4. Double N-alkylation of compound (IV) with chloride (VII) by heating with NaH or alkaline carbonate in DMF yields dialkylated compound (VIII), which is reduced with LiAlH4 or Red-Al in refluxing THF/toluene to furnish the free base (IX). Finally, (IX) is converted into the desired dihydrochloride by treatment with HCl in isopropanol.

参考文献No.21235
标题:Medicament containing crystalline fumaric acid salts or 9,9-alkylen-3-7-diazabicyclononane cpds.
作者:Sch鰊, U.; Heitmann, W.; M鋞zel, U. (Kali-Chemie AG)
来源:DE 4139763; EP 0550383; JP 1993247040
合成路线图解说明:

Treatment of ethyl cyanoacetate derivative (I) with cyanoacetamide (II) in EtOH in the presence of NaOEt provides dicyano derivative (III), which is then converted into diimide (IV) by treatment with refluxing sulfuric acid. Alternatively, (IV) can also be obtained by reaction between cyclopentanone (V), cyanoacetamide (II) and piperidine by means of KOH or NaOH in H2O (or H2O/EtOH) to provide mononitrile derivative (VI), which is then refluxed with H2SO4. Double N-alkylation of compound (IV) with chloride (VII) by heating with NaH or alkaline carbonate in DMF yields dialkylated compound (VIII), which is reduced with LiAlH4 or Red-Al in refluxing THF/toluene to furnish the free base (IX). Finally, (IX) is converted into the desired dihydrochloride by treatment with HCl in isopropanol.

参考文献No.458758
标题:Synthesis, pharmacological characterization, and quantitative structure-activity relationship analyses of 3,7,9,9-tetraalkylbispidines: Derivatives with specific bradycardic activity
作者:Sch鰊, U.; Antel, J.; Bruckner, R.; Messinger, J.; Franke, R.; Gruska, A.
来源:J Med Chem 1998,41(3),318
合成路线图解说明:

Treatment of ethyl cyanoacetate derivative (I) with cyanoacetamide (II) in EtOH in the presence of NaOEt provides dicyano derivative (III), which is then converted into diimide (IV) by treatment with refluxing sulfuric acid. Alternatively, (IV) can also be obtained by reaction between cyclopentanone (V), cyanoacetamide (II) and piperidine by means of KOH or NaOH in H2O (or H2O/EtOH) to provide mononitrile derivative (VI), which is then refluxed with H2SO4. Double N-alkylation of compound (IV) with chloride (VII) by heating with NaH or alkaline carbonate in DMF yields dialkylated compound (VIII), which is reduced with LiAlH4 or Red-Al in refluxing THF/toluene to furnish the free base (IX). Finally, (IX) is converted into the desired dihydrochloride by treatment with HCl in isopropanol.

参考文献No.638439
标题:Piperidine derivatives. XXX. 1,4-Dialkyl-4-arylpiperidines
作者:McElvain, S.M.; Clemens, D.H.
来源:J Am Chem Soc 1958,803915
合成路线图解说明:

Treatment of ethyl cyanoacetate derivative (I) with cyanoacetamide (II) in EtOH in the presence of NaOEt provides dicyano derivative (III), which is then converted into diimide (IV) by treatment with refluxing sulfuric acid. Alternatively, (IV) can also be obtained by reaction between cyclopentanone (V), cyanoacetamide (II) and piperidine by means of KOH or NaOH in H2O (or H2O/EtOH) to provide mononitrile derivative (VI), which is then refluxed with H2SO4. Double N-alkylation of compound (IV) with chloride (VII) by heating with NaH or alkaline carbonate in DMF yields dialkylated compound (VIII), which is reduced with LiAlH4 or Red-Al in refluxing THF/toluene to furnish the free base (IX). Finally, (IX) is converted into the desired dihydrochloride by treatment with HCl in isopropanol.

参考文献No.644792
标题:The formation and reactions of imino-compounds. Part XV. The production of imino-derivatives of piperidine leading to the formation of the betabeta-disubstituted glutaric acids
作者:Thole, F.B.; Thorpe, J.F.
来源:J Chem Soc 1911,99422
合成路线图解说明:

Treatment of ethyl cyanoacetate derivative (I) with cyanoacetamide (II) in EtOH in the presence of NaOEt provides dicyano derivative (III), which is then converted into diimide (IV) by treatment with refluxing sulfuric acid. Alternatively, (IV) can also be obtained by reaction between cyclopentanone (V), cyanoacetamide (II) and piperidine by means of KOH or NaOH in H2O (or H2O/EtOH) to provide mononitrile derivative (VI), which is then refluxed with H2SO4. Double N-alkylation of compound (IV) with chloride (VII) by heating with NaH or alkaline carbonate in DMF yields dialkylated compound (VIII), which is reduced with LiAlH4 or Red-Al in refluxing THF/toluene to furnish the free base (IX). Finally, (IX) is converted into the desired dihydrochloride by treatment with HCl in isopropanol.

Drug Information Express,Drug R&D,Chemical Database,Patent Search.
Copyright © 2006-2026 Drug Future. All rights reserved.Contact Us