【药物名称】Deramciclane fumarate, EGIS-3886, EGYT-3886
化学结构式(Chemical Structure):
参考文献No.13485
标题:Basic ethers and pharmaceutical compsns. containing the same
作者:Budai, Z.; Magdanyi, L.; Lay, A.; Mezei, T.; Grasser, K.; Pet鯿z, L.; Kosoczky, I. (Egis Pharmaceuticals Ltd.)
来源:US 4342762
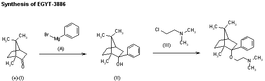
合成路线图解说明:

Grignard addition of phenylmagnesium bromide to (+)-camphor (I) yielded the endo-alcohol (II), which was reacted with 1-dimethylamino-2-chloroethane (III) to give the base corresponding to EGYT-3886. EGYT-3886 is the 2-(E)-butenedioate salt (1:1).

参考文献No.147153
标题:EGYT-3886
作者:Ber閚yi, E.; Bask? G.; Fekete, M.; N骻r醖i, M.
来源:Drugs Fut 1990,15(12),1174
合成路线图解说明:

Grignard addition of phenylmagnesium bromide to (+)-camphor (I) yielded the endo-alcohol (II), which was reacted with 1-dimethylamino-2-chloroethane (III) to give the base corresponding to EGYT-3886. EGYT-3886 is the 2-(E)-butenedioate salt (1:1).

Drug Information Express,Drug R&D,Chemical Database,Patent Search.
Copyright © 2006-2026 Drug Future. All rights reserved.Contact Us