【药物名称】Esonarimod, KE-298
化学结构式(Chemical Structure):
参考文献No.3378
标题:Benzoylpropionic acid derivs., their use and pharmaceutical compsns
作者:Tomisawa, K.; Kameo, K.; Matsunaga, T.; Saito, S.; Sota, K. (Taisho Pharmaceutical Co., Ltd.)
来源:EP 0164101; ES 8603818; JP 1985258160
合成路线图解说明:

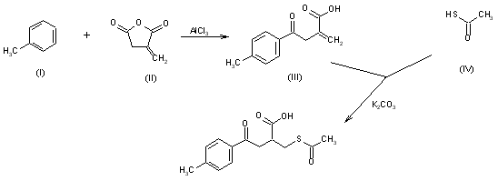
The Friedel-Crafts condensation of toluene (I) with itaconic anhydride (2-methylenesuccinic anhydride) (II) by means of AlCl3 in methylene chloride or 1,2-dichloroethane gives 3-(4-methylbenzoyl)-2-methylenepropionic acid (III), which is then treated with thioacetic acid (IV) and K2CO3 in DMF/water.

参考文献No.7582
标题:2-Acylthiomethyl-3-benzoylpropionic acid derivs
作者:Tomisawa, K.; Kameo, K.; Matsunaga, Y.; Saito, H.; Sodu, H. (Taisho Pharmaceutical Co., Ltd.)
来源:JP 1987132825
合成路线图解说明:

The Friedel-Crafts condensation of toluene (I) with itaconic anhydride (2-methylenesuccinic anhydride) (II) by means of AlCl3 in methylene chloride or 1,2-dichloroethane gives 3-(4-methylbenzoyl)-2-methylenepropionic acid (III), which is then treated with thioacetic acid (IV) and K2CO3 in DMF/water.

参考文献No.67610
标题:Studies on antirheumatic agents: 3-Benzoylpropionic acid derivatives
作者:Kameo, K.; Ogawa, K.; Takeshita, K.; Nakaike, S.; Tomisawa, K.; Sota, K.
来源:Chem Pharm Bull 1988,36(6),2050-60
合成路线图解说明:

The Friedel-Crafts condensation of toluene (I) with itaconic anhydride (2-methylenesuccinic anhydride) (II) by means of AlCl3 in methylene chloride or 1,2-dichloroethane gives 3-(4-methylbenzoyl)-2-methylenepropionic acid (III), which is then treated with thioacetic acid (IV) and K2CO3 in DMF/water.

参考文献No.364438
标题:KE-298
作者:Mealy, N.; Casta馿r, J.
来源:Drugs Fut 1996,21(7),691
合成路线图解说明:

The Friedel-Crafts condensation of toluene (I) with itaconic anhydride (2-methylenesuccinic anhydride) (II) by means of AlCl3 in methylene chloride or 1,2-dichloroethane gives 3-(4-methylbenzoyl)-2-methylenepropionic acid (III), which is then treated with thioacetic acid (IV) and K2CO3 in DMF/water.

参考文献No.696983
标题:A practical procedure for the synthesis of esonarimod, (R,S)-2-acetylthiomethyl-4-(4-methylphenyl)-4-oxobutanoic acid, an antirheumatic agent (Part 1)
作者:Noguchi, T.; Onodera, A.; Tomisawa, K.; Yokomori, S.
来源:Chem Pharm Bull 2002,50(10),1407
合成路线图解说明:

The Friedel-Crafts condensation of toluene (I) with itaconic anhydride (2-methylenesuccinic anhydride) (II) by means of AlCl3 in methylene chloride or 1,2-dichloroethane gives 3-(4-methylbenzoyl)-2-methylenepropionic acid (III), which is then treated with thioacetic acid (IV) and K2CO3 in DMF/water.

Drug Information Express,Drug R&D,Chemical Database,Patent Search.
Copyright © 2006-2026 Drug Future. All rights reserved.Contact Us