【药物名称】Flobufen, VUFB-16066
化学结构式(Chemical Structure):
参考文献No.9125
标题:omega-(2',4'-Dihalobiphenylyl)oxoalkanoic acid derivs.
作者:Kuchar, M.; Brunova, B.; Grimova, J.; Maturova, E. (SPOFA - United Pharmaceutical Works)
来源:CS 243570; EP 0180290; JP 1986065842; US 4683331
合成路线图解说明:

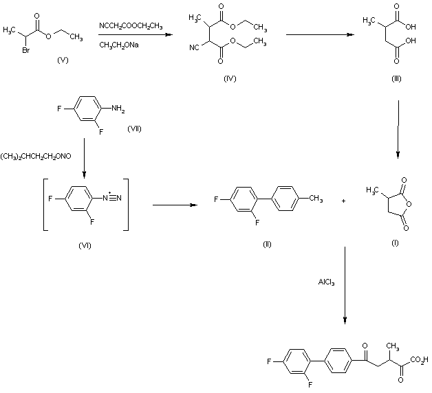
Flobufen is prepared by a Friedel-Crafts reaction of 2,4-difluorobiphenyl (II) with methylsuccinic anhydride (I). Methylsuccinic acid (III) can be obtained by hydrolysis and subsequent decarboxylation of ethyl 2-cyano-3-methylsuccinate (IV), which is prepared by condensation of ethyl ester of 2-bromopropionic acid (V) with ethyl cyanoacetate. 2,4-Difluorobiphenyl (II) can be obtained by a Gomberg reaction of 2,4-difluorophenyl diazonium salt (VI) [prepared from difluoroaniline (VII)] with toluene in the presence of Cu.

参考文献No.76482
标题:FLOBUFEN
作者:Rejholec, V.
来源:Drugs Fut 1989,14(1),24
合成路线图解说明:

Flobufen is prepared by a Friedel-Crafts reaction of 2,4-difluorobiphenyl (II) with methylsuccinic anhydride (I). Methylsuccinic acid (III) can be obtained by hydrolysis and subsequent decarboxylation of ethyl 2-cyano-3-methylsuccinate (IV), which is prepared by condensation of ethyl ester of 2-bromopropionic acid (V) with ethyl cyanoacetate. 2,4-Difluorobiphenyl (II) can be obtained by a Gomberg reaction of 2,4-difluorophenyl diazonium salt (VI) [prepared from difluoroaniline (VII)] with toluene in the presence of Cu.

Drug Information Express,Drug R&D,Chemical Database,Patent Search.
Copyright © 2006-2026 Drug Future. All rights reserved.Contact Us