【药物名称】Nebracetam fumarate, WEB-1881-FU-y [as((+)-enantiomer), WEB-1881-FU-X [as((-)-enantiomer), WEB-1881-FU, Memolog
化学结构式(Chemical Structure):
参考文献No.11334
标题:Prostaglandins of the F series
作者:Ueno, R.; Oda, T. (Ueno Fine Chemicals Industry, Ltd.)
来源:EP 0289349; JP 1989151552; US 5001153; US 5106869
合成路线图解说明:

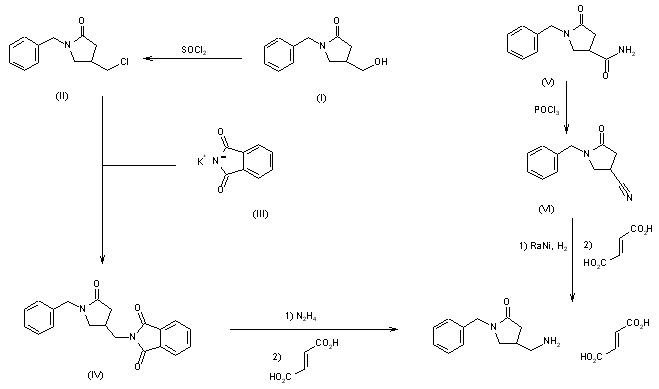
This compound can be prepared by two different ways: 1) The reaction of 1-benzyl-4-(hydroxymethyl)pyrrolidin-2-one (I) with SOCl2 in refluxing dichloromethane gives 1-benzyl-4-(chloromethyl)pyrrolidin-2-one (II), which is condensed with potassium phthalimide (III) in DMF yielding 1-benzyl-4-(phthalimidomethyl)pyrrolidin-2-one (IV). Finally, this compound is treated with hydrazine in ethanol and neutralized with fumaric acid. 2) The dehydration of 1-benzyl-2-oxo-pyrrolidine-4-carboxamide (V) with POCl3 in hot DMF gives 1-benzyl-4-cyanopyrrolidine-2-one (VI), which is reduced with H2 and RaNi in methanol - NH3 and neutralized with fumaric acid.

合成路线图解说明:

The condensation of dimethyl methylphosphonate (I) with ethyl octanoate (II) by means of butyllithium in THF gives dimethyl 2-oxononylphosphonate (III), which is condensed with the protected aldehyde (IV) by means of NaH in THF, yielding the unsaturated ketone (V). The hydrogenation of (V) with H2 over Pd/C in ethyl acetate affords the corresponding saturated ketone (VI), which is treated with ethylene glycol and p-toluenesulfonic acid to give the cyclic ketal (VII). The mild hydrolysis of (VII) with K2CO3 and acetic acid gives the alcohol derivative (VIII); the reduction of the lactone group of (VIII) with dibutylaluminum hydride in toluene affords the lactol (IX), which is condensed with (4-carboxybutyl)triphenylphosphonium bromide (X) by means of NaH in DMSO yielding the protected prostaglandin (XI). Esterification of (XI) with isopropyl iodide and DBU in acetonitrile gives the precursor (XII), which is finally deprotected with acetic acid in THF - water.

参考文献No.195096
标题:Nebracetam Fumarate
作者:Prous, J.; Graul, A.; Casta馿r, R.M.
来源:Drugs Fut 1993,18(1),18
合成路线图解说明:

This compound can be prepared by two different ways: 1) The reaction of 1-benzyl-4-(hydroxymethyl)pyrrolidin-2-one (I) with SOCl2 in refluxing dichloromethane gives 1-benzyl-4-(chloromethyl)pyrrolidin-2-one (II), which is condensed with potassium phthalimide (III) in DMF yielding 1-benzyl-4-(phthalimidomethyl)pyrrolidin-2-one (IV). Finally, this compound is treated with hydrazine in ethanol and neutralized with fumaric acid. 2) The dehydration of 1-benzyl-2-oxo-pyrrolidine-4-carboxamide (V) with POCl3 in hot DMF gives 1-benzyl-4-cyanopyrrolidine-2-one (VI), which is reduced with H2 and RaNi in methanol - NH3 and neutralized with fumaric acid.

Drug Information Express,Drug R&D,Chemical Database,Patent Search.
Copyright © 2006-2026 Drug Future. All rights reserved.Contact Us