【药物名称】Velnacrine maleate, P83-6029A, HP-029, Mentane
化学结构式(Chemical Structure):
参考文献No.4353
标题:9-Amino-1,2,3,4-tetrahydroacridin-1-ol and related cpds., a process for their preparation and their use as medicaments
作者:Shutske, G.M.; Pierrat, F.A. (Aventis Pharmaceuticals, Inc.)
来源:AU 8549038; EP 0179383; ES 8701165; ES 8801213; ES 8802383; JP 1986148154; JP 1989125362; US 4631286; US 4839364
合成路线图解说明:

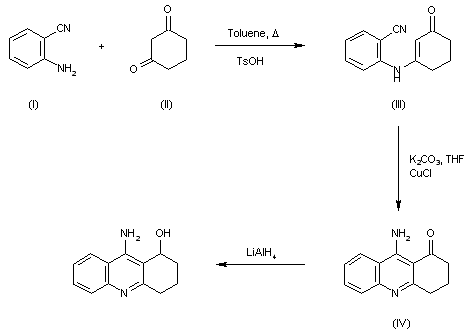
The condensation of anthranilonitrile (I) with cyclohexane-1,3-dione (II) in the presence of p-toluenesulfonic acid (removal of water) gives the enaminoketone (III). Cyclization of (III) in the presence of K2CO3 and CuCl yields the aminoketone (IV), which is then reduced with LiAlH4.

参考文献No.53194
标题:Process for the preparation of (?-9-amino-1,2,3,4-tetrahydroacridin-1-ol
作者:Caldero Ges, J.M.; Huguet Clotet, J. (Vita-Invest, SA)
来源:ES 2059263
合成路线图解说明:

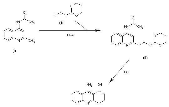
The condensation of N-(2-methylquinolin-4-yl)acetamide (I) with 2-(2-iodoethyl)-1,3-dioxane (II) by means of LDA in THF gives the corresponding adduct (III), which is then cyclized and deacylated by means of aqueous HCl to afford the target tetrahydroacridine.

参考文献No.96002
标题:VELNACRINE MALEATE < USAN >
作者:Shutske, G.M.
来源:Drugs Fut 1989,14(7),643
合成路线图解说明:

The condensation of anthranilonitrile (I) with cyclohexane-1,3-dione (II) in the presence of p-toluenesulfonic acid (removal of water) gives the enaminoketone (III). Cyclization of (III) in the presence of K2CO3 and CuCl yields the aminoketone (IV), which is then reduced with LiAlH4.

Drug Information Express,Drug R&D,Chemical Database,Patent Search.
Copyright © 2006-2026 Drug Future. All rights reserved.Contact Us