【药物名称】ES-6864
化学结构式(Chemical Structure):
参考文献No.8616
标题:New renin-inhibitory oligopeptides, their preparation and their use
作者:Kataoko, M.; Yabe, Y.; Iijima, Y.; Takahagi, H.; Koike, H.; Kokubu, T.; Hiwada, K.; Morisawa, Y. (Sankyo Co., Ltd.)
来源:EP 0274259; JP 1989063559; US 5378690
合成路线图解说明:

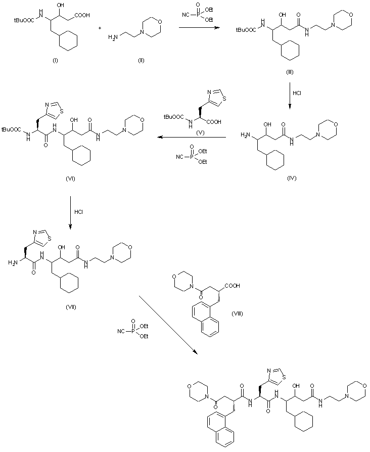
The condensation of N-tert-butoxycarbonyl-cyclostatin (I) with 2-morpholinoethylamine (II) by means of diethyl cyanophosphonate in THF gives the corresponding amide (III), which is deprotected with HCl in dioxane yielding cyclostatin 2-morpholinoethylamide (IV). The condensation of (IV) with N-tert-butoxycarbonyl-3-(4-thiazolyl)-L-alanine (V) by means of diethyl cyanophosphonate as before affords the protected dipeptide (VI), which is treated with HCl in dioxane to obtain the free dipeptide 3-(4-thiazolyl)-L-alanyl-cyclostatin 2-morpholinoethylamide (VII). Finally, this compound is condensed with 3-(morpholinocarbonyl)-2(R)-(4-thiazolyl)propionic acid (VIII) by means of diethyl cyanophosphonate as before.

参考文献No.103412
标题:ES-6864
作者:Prous, J.; Casta馿r, J.
来源:Drugs Fut 1989,14(9),852
合成路线图解说明:

The condensation of N-tert-butoxycarbonyl-cyclostatin (I) with 2-morpholinoethylamine (II) by means of diethyl cyanophosphonate in THF gives the corresponding amide (III), which is deprotected with HCl in dioxane yielding cyclostatin 2-morpholinoethylamide (IV). The condensation of (IV) with N-tert-butoxycarbonyl-3-(4-thiazolyl)-L-alanine (V) by means of diethyl cyanophosphonate as before affords the protected dipeptide (VI), which is treated with HCl in dioxane to obtain the free dipeptide 3-(4-thiazolyl)-L-alanyl-cyclostatin 2-morpholinoethylamide (VII). Finally, this compound is condensed with 3-(morpholinocarbonyl)-2(R)-(4-thiazolyl)propionic acid (VIII) by means of diethyl cyanophosphonate as before.

参考文献No.110201
标题:Syntheses and biological activities of renin inhibitors containing statine analogues
作者:Nishi, T.; Nagahori, H.; Saito, F.; et al.
来源:Chem Pharm Bull 1990,38(1),103-9
合成路线图解说明:

A new synthesis of ES-6864 has been reported: The condensation of 3-(morpholinocarbonyl)-2(R)-(1-naphthylmethyl)propionic acid (I) with N-[N-(tert-butoxycarbonyl)-3-(4-thiazolyl)-L-alanyl]cyclosatine 2-morpholinoethylamide (II) by means of a previous hydrolysis with HCl followed by the condensation step with diethylphosphoryl cyanide gives ES-6864.

合成路线图解说明:

The starting product (I) is obtained as follows: The acylation of 4(S)-isopropyloxazolidin-2-one (IV) with 3-(1-naphthyl)propionyl chloride (III) by means of butyllithium in THF-hexane yields 4(S)-isopropyl-3-[3-(1-naphthyl)propionyl]oxazolidin-2-one (V), which is condensed with benzyl bromoacetate (VI) by means of lithium diisopropylamide in THF to afford 3-[3-(benzyloxycarbonyl)-2(R)-(1-naphthylmethyl)propionyl]-4(S)-isoprop yloxazolidin-2-one (VII). The hydrogenolysis of (VII) with H2 over Pd/C in ethanol gives the carboxylic acid (VIII), which is condensed with morpholine (IX) by means of triethylamine and diethylphosphoryl cyanide in THF yielding 4(S)-isopropyl-3-[3-(morpholinocarbonyl)-2(R)-(1-naphthylmethyl)propion yl]oxazolidin-2-one (X). Finally, this compound is hydrolyzed with LiOH in THF - water to afford the acid (I).

合成路线图解说明:

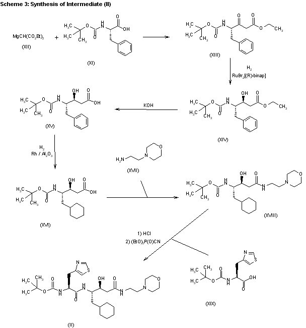
The starting product (II) is obtained as follows: The condensation of N-(tert-butoxycarbonyl)-L-phenylalanine (XI) with magnesium diethylmalonate (XII) by means of N,N'-carbonyldiimidazole in THF - DMSO gives 4(S)-(tert-butoxycarbonylamino)-3-oxo-4-phenylpentanoic acid ethyl ester (XIII), which by an asymetric hydrogenation with H2 and (R)-2,2'-bis(diphenylphosphino)-1,1'-binaphthyl-Ruthenium complex in ethanol is converted into 4(S)-(tert-butoxycarbonylamino)-4(S)-hydroxy-5-phenylpentanoic acid ethyl ester (XIV). The hydrolysis of (XIV) with KOH in water - dioxane gives the corresponding free acid (XV), which is hydrogenated with H2 over Rh/Al2O3 in ethanol to yield N-(tert-butoxycarbonyl)cyclostatine (XVI).The condensation of (XVI) with 2-morpholinoethylamine (XVII) by means of triethylamine and diethylphosphoryl cyanide in THF affords the corresponding amide (XVIII), which is finally condensed with N-(tert-butoxycarbonyl)-3-(4-thiazolyl)-L-alanine (XIX) by means of a previous hydrolysis with HCl, followed by the condensation step with diethylphosphoryl cyanide in THF, to give the cyclostatine derivative (II).

Drug Information Express,Drug R&D,Chemical Database,Patent Search.
Copyright © 2006-2026 Drug Future. All rights reserved.Contact Us