【药物名称】Bimakalim, SR-44866, EMD-52692
化学结构式(Chemical Structure):
参考文献No.8590
标题:Chroman derivs
作者:H鋟sler, G.; Gericke, R.; Wurziger, H.; Baumgarth, M.; Lues, I.; De Peyer, J.; Bergmann, R. (Merck Patent GmbH)
来源:AU 8782689; DE 3726261; EP 0273262; JP 1988170376
合成路线图解说明:

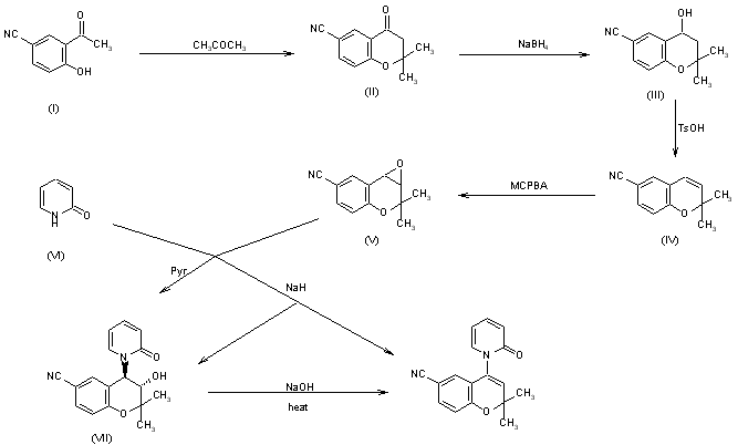
The cyclization of 3-acetyl-4-hydroxybenzonitrile (I) with acetone by means of pyrrolidine in toluene gives 2,2-dimethyl-4-oxo-3,4-dihydro-2H-1-benzopyran-6-carbonitrile (II), which is reduced with NaBH4 yielding the corresponding alcohol (III). The dehydration of (III) with p-toluenesulfonic acid in refluxing toluene affords 2,2-dimethyl-2H-1-benzopyran-6-carbonitrile (IV), which is treated with m-chloroperbenzoic acid (MCPBA) to give the corresponding epoxide (V) . The condensation of (V) with pyridin-2(1H)-one (VI) by means of pyridine or benzyl trimethylammonium hydroxide (2) in refluxing ethanol yields trans-3-hydroxy-2,2-dimethyl-4-(2-oxo-1,2-dihydropyridin-1-yl)-3,4-dihydro-2H-1-benzopyran-6-carbonitrile (VII), which is finally dehydrated with NaOH in refluxing dioxane , or with NaH in refluxing THF. When the condensation of epoxide (V) with pyridone (VI) is carried out with NaH in DMSO mixtures of the intermediate (VII) and the final compound bimakalim are obtained; these compounds are easily separated.

参考文献No.10156
标题:2,2-Dimethylchromene derivs., preparation process and pharmaceutical compsns. containing them
作者:Garc韆, G.; Di Malta, a.; Gautier, P. (Sanofi-Synth閘abo )
来源:AU 8823660; EP 0312432; EP 0556872; FR 2621587; JP 1990000180
合成路线图解说明:

The cyclization of 3-acetyl-4-hydroxybenzonitrile (I) with acetone by means of pyrrolidine in toluene gives 2,2-dimethyl-4-oxo-3,4-dihydro-2H-1-benzopyran-6-carbonitrile (II), which is reduced with NaBH4 yielding the corresponding alcohol (III). The dehydration of (III) with p-toluenesulfonic acid in refluxing toluene affords 2,2-dimethyl-2H-1-benzopyran-6-carbonitrile (IV), which is treated with m-chloroperbenzoic acid (MCPBA) to give the corresponding epoxide (V) . The condensation of (V) with pyridin-2(1H)-one (VI) by means of pyridine or benzyl trimethylammonium hydroxide (2) in refluxing ethanol yields trans-3-hydroxy-2,2-dimethyl-4-(2-oxo-1,2-dihydropyridin-1-yl)-3,4-dihydro-2H-1-benzopyran-6-carbonitrile (VII), which is finally dehydrated with NaOH in refluxing dioxane , or with NaH in refluxing THF. When the condensation of epoxide (V) with pyridone (VI) is carried out with NaH in DMSO mixtures of the intermediate (VII) and the final compound bimakalim are obtained; these compounds are easily separated.

参考文献No.11686
标题:Chroman derivs
作者:H鋟sler, G.; Gericke, R.; Wurziger, H.; Baumgarth, M.; Lues, I.; Bergmann, R.; De Peyer, J. (Merck Patent GmbH)
来源:AU 8936440; DE 3820506; EP 0346724; JP 1990040375; US 5387587
合成路线图解说明:

The cyclization of 3-acetyl-4-hydroxybenzonitrile (I) with acetone by means of pyrrolidine in toluene gives 2,2-dimethyl-4-oxo-3,4-dihydro-2H-1-benzopyran-6-carbonitrile (II), which is reduced with NaBH4 yielding the corresponding alcohol (III). The dehydration of (III) with p-toluenesulfonic acid in refluxing toluene affords 2,2-dimethyl-2H-1-benzopyran-6-carbonitrile (IV), which is treated with m-chloroperbenzoic acid (MCPBA) to give the corresponding epoxide (V) . The condensation of (V) with pyridin-2(1H)-one (VI) by means of pyridine or benzyl trimethylammonium hydroxide (2) in refluxing ethanol yields trans-3-hydroxy-2,2-dimethyl-4-(2-oxo-1,2-dihydropyridin-1-yl)-3,4-dihydro-2H-1-benzopyran-6-carbonitrile (VII), which is finally dehydrated with NaOH in refluxing dioxane , or with NaH in refluxing THF. When the condensation of epoxide (V) with pyridone (VI) is carried out with NaH in DMSO mixtures of the intermediate (VII) and the final compound bimakalim are obtained; these compounds are easily separated.

参考文献No.108586
标题:Synthesis and antihypertensive activity of 4-(1,2-dihydro-2-oxo-1-pyridyl)-2H-1-benzopyrans and related compounds, new channel activators
作者:Bergmann, R.; Gericke, R.
来源:J Med Chem 1990,33(2),492-504
合成路线图解说明:

The cyclization of 3-acetyl-4-hydroxybenzonitrile (I) with acetone by means of pyrrolidine in toluene gives 2,2-dimethyl-4-oxo-3,4-dihydro-2H-1-benzopyran-6-carbonitrile (II), which is reduced with NaBH4 yielding the corresponding alcohol (III). The dehydration of (III) with p-toluenesulfonic acid in refluxing toluene affords 2,2-dimethyl-2H-1-benzopyran-6-carbonitrile (IV), which is treated with m-chloroperbenzoic acid (MCPBA) to give the corresponding epoxide (V) . The condensation of (V) with pyridin-2(1H)-one (VI) by means of pyridine or benzyl trimethylammonium hydroxide (2) in refluxing ethanol yields trans-3-hydroxy-2,2-dimethyl-4-(2-oxo-1,2-dihydropyridin-1-yl)-3,4-dihydro-2H-1-benzopyran-6-carbonitrile (VII), which is finally dehydrated with NaOH in refluxing dioxane , or with NaH in refluxing THF. When the condensation of epoxide (V) with pyridone (VI) is carried out with NaH in DMSO mixtures of the intermediate (VII) and the final compound bimakalim are obtained; these compounds are easily separated.

参考文献No.350713
标题:Bimakalim
作者:Robinson, C.; Robinson, K.A.; Casta馿r, J.
来源:Drugs Fut 1996,21(4),351
合成路线图解说明:

The cyclization of 3-acetyl-4-hydroxybenzonitrile (I) with acetone by means of pyrrolidine in toluene gives 2,2-dimethyl-4-oxo-3,4-dihydro-2H-1-benzopyran-6-carbonitrile (II), which is reduced with NaBH4 yielding the corresponding alcohol (III). The dehydration of (III) with p-toluenesulfonic acid in refluxing toluene affords 2,2-dimethyl-2H-1-benzopyran-6-carbonitrile (IV), which is treated with m-chloroperbenzoic acid (MCPBA) to give the corresponding epoxide (V) . The condensation of (V) with pyridin-2(1H)-one (VI) by means of pyridine or benzyl trimethylammonium hydroxide (2) in refluxing ethanol yields trans-3-hydroxy-2,2-dimethyl-4-(2-oxo-1,2-dihydropyridin-1-yl)-3,4-dihydro-2H-1-benzopyran-6-carbonitrile (VII), which is finally dehydrated with NaOH in refluxing dioxane , or with NaH in refluxing THF. When the condensation of epoxide (V) with pyridone (VI) is carried out with NaH in DMSO mixtures of the intermediate (VII) and the final compound bimakalim are obtained; these compounds are easily separated.

Drug Information Express,Drug R&D,Chemical Database,Patent Search.
Copyright © 2006-2026 Drug Future. All rights reserved.Contact Us