【药物名称】FK-3311
化学结构式(Chemical Structure):
参考文献No.201697
标题:Studies on antiinflammatory agents. I. Synthesis and pharmacological properties of 2'-phenoxymethanesulfonanilide derivatives
作者:Tsuji, K.; Nakamura, K.; Konishi, N.; Okumura, H.; Matsuo, M.
来源:Chem Pharm Bull 1992,40(9),2399
合成路线图解说明:

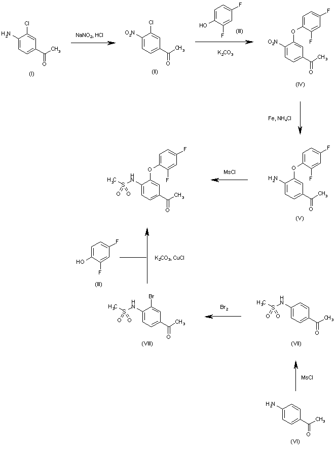
This compound has been obtained by two different ways: 1) The oxidation of 4'-amino-3'-chloroacetophenone (I) with NaNO2 and HCl in water gives 3'-chloro-4-nitroacetophenone (II), which is condensed with 2,4-difluorophenol (III) by means of K2CO3 in xylene yielding 3'-(2,4-difluorophenyl)-4'-nitroacetophenone (IV). The reduction of (IV) with Fe and NH4Cl in ethanol affords the corresponding 4'-amino compound (V), which is finally treated with methanesulfonyl chloride and pyridine. 2) The reaction of 4'-aminoacetophenone (VI) with methanesulfonyl chloride as before gives the corresponding sulfonamide (VII), which is brominated with Br2 in acetic acid yielding N-(4-acetyl-3-bromophenyl)methanesulfonamide (VIII). Finally, this compound is condensed with 2,4-difluorophenol (III) by means of K2CO3 and CuCl as before.

参考文献No.567264
标题:Process development of a novel anti-inflammatory agent. The regiospecific bromination of 4'-acetylmethanesulfonanilide
作者:Zanka, A.; et al.
来源:Org Process Res Dev 1998,2(2),71
合成路线图解说明:

This compound has been obtained by two different ways: 1) The oxidation of 4'-amino-3'-chloroacetophenone (I) with NaNO2 and HCl in water gives 3'-chloro-4-nitroacetophenone (II), which is condensed with 2,4-difluorophenol (III) by means of K2CO3 in xylene yielding 3'-(2,4-difluorophenyl)-4'-nitroacetophenone (IV). The reduction of (IV) with Fe and NH4Cl in ethanol affords the corresponding 4'-amino compound (V), which is finally treated with methanesulfonyl chloride and pyridine. 2) The reaction of 4'-aminoacetophenone (VI) with methanesulfonyl chloride as before gives the corresponding sulfonamide (VII), which is brominated with Br2 in acetic acid yielding N-(4-acetyl-3-bromophenyl)methanesulfonamide (VIII). Finally, this compound is condensed with 2,4-difluorophenol (III) by means of K2CO3 and CuCl as before.

Drug Information Express,Drug R&D,Chemical Database,Patent Search.
Copyright © 2006-2026 Drug Future. All rights reserved.Contact Us