【药物名称】Mycophenolate mofetil, RS-61443-190(HCl), ME-MPA, RS-61443, Munoloc, CellCept
化学结构式(Chemical Structure):
参考文献No.8554
标题:Morpholinoethylesters of mycophenolic acid and pharmaceutical compsns
作者:Nelson, P.H.; Gu, C.-L.L.; Allison, A.C.; Eugui, E.M.; Lee, W.A. (Syntex (USA), Inc.)
来源:AU 8782540; EP 0281713; JP 1988188672; US 4753935
合成路线图解说明:

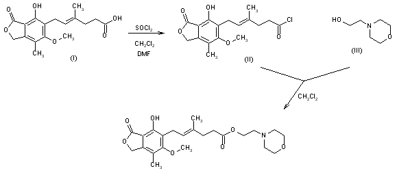
Commercially available mycophelonic acid (I) is converted to its chloride (II) by means of thionyl chloride in dichloromethane/DMF and then esterified with 2-(4-morpholinyl)ethanol (III) in dichloromethane.

参考文献No.14135
标题:Treatment of allograft rejection with mycophenolic acid morpholinoethyl ester and derivs. Thereof
作者:Allison, A.C.; Eugui, E.M.; Nelson, P.H.; Gu, C.-L.L.; Lee, W.A. (Syntex (USA), Inc.)
来源:US 4786637
合成路线图解说明:

Commercially available mycophelonic acid (I) is converted to its chloride (II) by means of thionyl chloride in dichloromethane/DMF and then esterified with 2-(4-morpholinyl)ethanol (III) in dichloromethane.

参考文献No.59231
标题:Method of mycophenolate mofetil preparation
作者:Chudlik, M.; Husek, A. (Galena AS; Ivax Corp.)
来源:WO 02100855
合成路线图解说明:

The esterification of mycophenolic acid (I) with 2-(4-morpholinyl)ethanol (II) in refluxing dibutyl ether or refluxing dipentyl ether with azeotropic distillation of water gives the target mycophenolic ester.

参考文献No.135703
标题:Bioavailability improvement of mycophenolic acid through amino ester derivatization
作者:Lee, W.A.; Gu, L.; Miksztal, A.R.; Chu, N.; Leung, K.; Nelson, P.H.
来源:Pharm Res 1990,7(2),161-6
合成路线图解说明:

Commercially available mycophelonic acid (I) is converted to its chloride (II) by means of thionyl chloride in dichloromethane/DMF and then esterified with 2-(4-morpholinyl)ethanol (III) in dichloromethane.

参考文献No.293160
标题:Mycophenolate Mofetil
作者:Robinson, C.; Casta馿r, J.
来源:Drugs Fut 1995,20(4),356
合成路线图解说明:

Commercially available mycophelonic acid (I) is converted to its chloride (II) by means of thionyl chloride in dichloromethane/DMF and then esterified with 2-(4-morpholinyl)ethanol (III) in dichloromethane.

Drug Information Express,Drug R&D,Chemical Database,Patent Search.
Copyright © 2006-2026 Drug Future. All rights reserved.Contact Us