【药物名称】SDZ-87-469
化学结构式(Chemical Structure):
参考文献No.9144
标题:New allylamines and their use.
作者:St黷z, A. (Novartis Deutschland GmbH)
来源:DE 3302814
合成路线图解说明:

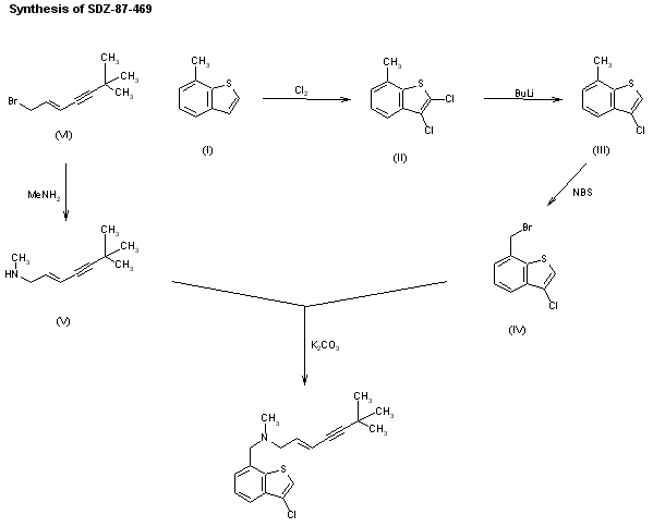
A new synthesis of SDZ-87469 has been published: The chlorination of 7-methylbenzo[b]thiophene (I) gives 2,3-dichloro-7-methylbenzo[b]thiophene (II), which is selectively dechlorinated with butyllithium and hydrolysis, yielding 3-chloro-7-methylbenzo[b]thiophene (III). The bromination of (III) with N-bromosuccinimide (NBS) in DMF affords 7-(bromomethyl)-3-chlorobenzo[b]thiophene (IV), which is finally condensed with N,6,6-trimethylhep-2-en-4-yn-1-amine (V) (E + Z mixture) by means of K2CO3 in DMF. The pure E-isomer is obtained by crystallization of the E + Z mixture of the hydrochlorides in ethanol. Amine (V) is obtained by reaction of the corresponding bromo derivative (IV) with methylamine.

参考文献No.139971
标题:Synthesis and structure-activity relationships of benzo[b]thienylallylamine antimycotics
作者:Nussbaumer, P.; Petranyi, G.; St黷z, A.
来源:J Med Chem 1991,34(1),65-73
合成路线图解说明:

A new synthesis of SDZ-87469 has been published: The chlorination of 7-methylbenzo[b]thiophene (I) gives 2,3-dichloro-7-methylbenzo[b]thiophene (II), which is selectively dechlorinated with butyllithium and hydrolysis, yielding 3-chloro-7-methylbenzo[b]thiophene (III). The bromination of (III) with N-bromosuccinimide (NBS) in DMF affords 7-(bromomethyl)-3-chlorobenzo[b]thiophene (IV), which is finally condensed with N,6,6-trimethylhep-2-en-4-yn-1-amine (V) (E + Z mixture) by means of K2CO3 in DMF. The pure E-isomer is obtained by crystallization of the E + Z mixture of the hydrochlorides in ethanol. Amine (V) is obtained by reaction of the corresponding bromo derivative (IV) with methylamine.

参考文献No.803908
标题:
作者:Petranyi, G.; St黷z, A.
来源:J Med Chem 1984,27(12),1539-43
合成路线图解说明:

A new synthesis of SDZ-87469 has been published: The chlorination of 7-methylbenzo[b]thiophene (I) gives 2,3-dichloro-7-methylbenzo[b]thiophene (II), which is selectively dechlorinated with butyllithium and hydrolysis, yielding 3-chloro-7-methylbenzo[b]thiophene (III). The bromination of (III) with N-bromosuccinimide (NBS) in DMF affords 7-(bromomethyl)-3-chlorobenzo[b]thiophene (IV), which is finally condensed with N,6,6-trimethylhep-2-en-4-yn-1-amine (V) (E + Z mixture) by means of K2CO3 in DMF. The pure E-isomer is obtained by crystallization of the E + Z mixture of the hydrochlorides in ethanol. Amine (V) is obtained by reaction of the corresponding bromo derivative (IV) with methylamine.

参考文献No.803909
标题:
作者:Loozen, H.; Godefroi, E.
来源:J Org Chem 1973,38(5),1056-7
合成路线图解说明:

A new synthesis of SDZ-87469 has been published: The chlorination of 7-methylbenzo[b]thiophene (I) gives 2,3-dichloro-7-methylbenzo[b]thiophene (II), which is selectively dechlorinated with butyllithium and hydrolysis, yielding 3-chloro-7-methylbenzo[b]thiophene (III). The bromination of (III) with N-bromosuccinimide (NBS) in DMF affords 7-(bromomethyl)-3-chlorobenzo[b]thiophene (IV), which is finally condensed with N,6,6-trimethylhep-2-en-4-yn-1-amine (V) (E + Z mixture) by means of K2CO3 in DMF. The pure E-isomer is obtained by crystallization of the E + Z mixture of the hydrochlorides in ethanol. Amine (V) is obtained by reaction of the corresponding bromo derivative (IV) with methylamine.

参考文献No.803910
标题:
作者:St黷z, A.; Nussbaumer, P.
来源:Rev Iberoam Micol 1988,5(1),89
合成路线图解说明:

A new synthesis of SDZ-87469 has been published: The chlorination of 7-methylbenzo[b]thiophene (I) gives 2,3-dichloro-7-methylbenzo[b]thiophene (II), which is selectively dechlorinated with butyllithium and hydrolysis, yielding 3-chloro-7-methylbenzo[b]thiophene (III). The bromination of (III) with N-bromosuccinimide (NBS) in DMF affords 7-(bromomethyl)-3-chlorobenzo[b]thiophene (IV), which is finally condensed with N,6,6-trimethylhep-2-en-4-yn-1-amine (V) (E + Z mixture) by means of K2CO3 in DMF. The pure E-isomer is obtained by crystallization of the E + Z mixture of the hydrochlorides in ethanol. Amine (V) is obtained by reaction of the corresponding bromo derivative (IV) with methylamine.

Drug Information Express,Drug R&D,Chemical Database,Patent Search.
Copyright © 2006-2026 Drug Future. All rights reserved.Contact Us