【药物名称】Talopterin, NSC-712783(NH3 salt), NSC-633713, PT-523, Ndelta-Hemiphthaloyl-APA-Orn
化学结构式(Chemical Structure):
参考文献No.65840
标题:Methotrexate analogues. 33. Ndelta-Acyl-Nalpha-(4-amino-4-deoxypteroyl)-L-ornithine derivatives: Synthesis and in vitro antitumor activity
作者:Rosowsky, A.; et al.
来源:J Med Chem 1988,311332-7
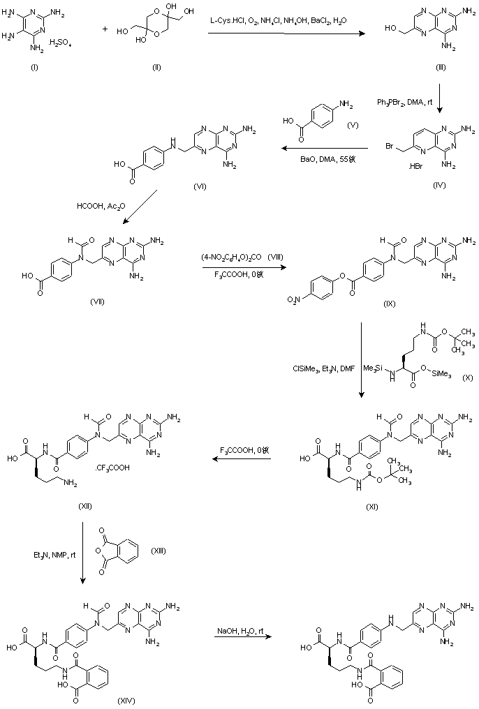
合成路线图解说明:

1) The condensation of 2,4,5,6-tetraaminopyrimidine sulfate (I) with dihydroxyacetone dimer (II) in the presence of cysteine and O2 furnished 2,4-diamino-6-(hydroxymethyl)pteridine (III). Subsequent reaction of (III) with dibromotriphenylphosphorane in dimethylacetamide afforded bromide (IV) which, without isolation, was condensed with 4-aminobenzoic acid (V) in the presence of BaO to give 4-amino-4-deoxypteroic acid (VI). Formylation of (VI) with acetic-formic anhydride yielded formamide (VII), and subsequent activation as the 4-nitrophenyl ester (IX) was carried out upon reaction with bis(4-nitrophenyl)carbonate (VIII). Then Nd-Boc-L-ornithine, after conversion to the corresponding Na,O-bis(trimethylsilyl) derivative (X) by treatment with ClSiMe3 and triethylamine, was condensed with active ester (IX) to furnish amide (XI). Subsequent deprotection of the Boc group of (XI) with cold trifluoroacetic acid provided (XII), which was then condensed with phthalic anhydride (XIII) in the presence of triethylamine in N-methylpyrrolidinone, yielding the hemiphthaloyl amide (XIV). Finally, the formamide function was hydrolyzed with aqueous NaOH at r.t. to provide the target compound, after chromatographic separation of some phthaloyl-hydrolyzed byproduct.

合成路线图解说明:

2) Alternatively, N10-formyl-4-amino-4-deoxypteroic acid (VII), prepared as before, was converted to the mixed anhydride (XV) with isobutyl chloroformate and triethylamine, and subsequently condensed with the Na,O-bis(trimethylsilyl) derivative of Nd-phthaloyl-L-ornithine (XVI) to give amide (XVII). Then, hydrolysis of the formamide function and concomitant phthalimide ring opening with aqueous NaOH provided the target compound.

参考文献No.528586
标题:Methotrexate analogues. 26. Inhibition of dihydrofolate reductase and folypolyglutamate synthetase activity and in vitro tumor cell growth by methotrexate and aminopterin analogues containing a basic amino acid side chain
作者:Rosowsky, A.; Freisheim, J.H.; Moran, R.G.; Solan, V.C.; Bader, H.; Wright, J.E.; Radike-Smith, M.
来源:J Med Chem 1986,29655
合成路线图解说明:

1) The condensation of 2,4,5,6-tetraaminopyrimidine sulfate (I) with dihydroxyacetone dimer (II) in the presence of cysteine and O2 furnished 2,4-diamino-6-(hydroxymethyl)pteridine (III). Subsequent reaction of (III) with dibromotriphenylphosphorane in dimethylacetamide afforded bromide (IV) which, without isolation, was condensed with 4-aminobenzoic acid (V) in the presence of BaO to give 4-amino-4-deoxypteroic acid (VI). Formylation of (VI) with acetic-formic anhydride yielded formamide (VII), and subsequent activation as the 4-nitrophenyl ester (IX) was carried out upon reaction with bis(4-nitrophenyl)carbonate (VIII). Then Nd-Boc-L-ornithine, after conversion to the corresponding Na,O-bis(trimethylsilyl) derivative (X) by treatment with ClSiMe3 and triethylamine, was condensed with active ester (IX) to furnish amide (XI). Subsequent deprotection of the Boc group of (XI) with cold trifluoroacetic acid provided (XII), which was then condensed with phthalic anhydride (XIII) in the presence of triethylamine in N-methylpyrrolidinone, yielding the hemiphthaloyl amide (XIV). Finally, the formamide function was hydrolyzed with aqueous NaOH at r.t. to provide the target compound, after chromatographic separation of some phthaloyl-hydrolyzed byproduct.

合成路线图解说明:

2) Alternatively, N10-formyl-4-amino-4-deoxypteroic acid (VII), prepared as before, was converted to the mixed anhydride (XV) with isobutyl chloroformate and triethylamine, and subsequently condensed with the Na,O-bis(trimethylsilyl) derivative of Nd-phthaloyl-L-ornithine (XVI) to give amide (XVII). Then, hydrolysis of the formamide function and concomitant phthalimide ring opening with aqueous NaOH provided the target compound.

参考文献No.528587
标题:Methotrexate analogues. 25. Chemical and biological studies on the gamma-tert-butyl esters of methotrexate and aminopterin
作者:Rosowsky, A.; Freisheim, J.H.; Bader, H.; Forsch, R.A.; Susten, S.S.; Cucchi, C.A.; Frei, E, III.
来源:J Med Chem 1985,28(5),660
合成路线图解说明:

1) The condensation of 2,4,5,6-tetraaminopyrimidine sulfate (I) with dihydroxyacetone dimer (II) in the presence of cysteine and O2 furnished 2,4-diamino-6-(hydroxymethyl)pteridine (III). Subsequent reaction of (III) with dibromotriphenylphosphorane in dimethylacetamide afforded bromide (IV) which, without isolation, was condensed with 4-aminobenzoic acid (V) in the presence of BaO to give 4-amino-4-deoxypteroic acid (VI). Formylation of (VI) with acetic-formic anhydride yielded formamide (VII), and subsequent activation as the 4-nitrophenyl ester (IX) was carried out upon reaction with bis(4-nitrophenyl)carbonate (VIII). Then Nd-Boc-L-ornithine, after conversion to the corresponding Na,O-bis(trimethylsilyl) derivative (X) by treatment with ClSiMe3 and triethylamine, was condensed with active ester (IX) to furnish amide (XI). Subsequent deprotection of the Boc group of (XI) with cold trifluoroacetic acid provided (XII), which was then condensed with phthalic anhydride (XIII) in the presence of triethylamine in N-methylpyrrolidinone, yielding the hemiphthaloyl amide (XIV). Finally, the formamide function was hydrolyzed with aqueous NaOH at r.t. to provide the target compound, after chromatographic separation of some phthaloyl-hydrolyzed byproduct.

合成路线图解说明:

2) Alternatively, N10-formyl-4-amino-4-deoxypteroic acid (VII), prepared as before, was converted to the mixed anhydride (XV) with isobutyl chloroformate and triethylamine, and subsequently condensed with the Na,O-bis(trimethylsilyl) derivative of Nd-phthaloyl-L-ornithine (XVI) to give amide (XVII). Then, hydrolysis of the formamide function and concomitant phthalimide ring opening with aqueous NaOH provided the target compound.

Drug Information Express,Drug R&D,Chemical Database,Patent Search.
Copyright © 2006-2026 Drug Future. All rights reserved.Contact Us