【药物名称】Sch-37370
化学结构式(Chemical Structure):
参考文献No.141186
标题:Dual antagonists of platelet activating factor and histamine. Identification of structural requirements for dual activity of N-acyl-4-(5,6-dihydro-11H-benzo[5,6]cyclohepta-[1,2-b]pyridin-11-ylidene)piperidines
作者:Piwinski, J.J.; Wong, J.K.; Green, M.J.; Ganguly, A.K.; Billah, M.M.; West, R.E. Jr.; Kreutner, W.
来源:J Med Chem 1991,34(1),457
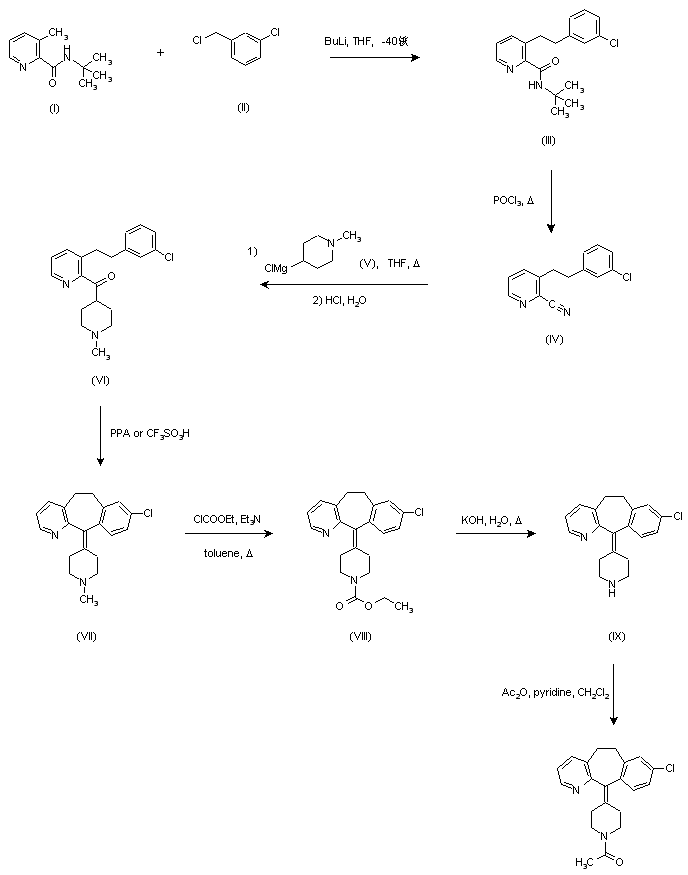
合成路线图解说明:

N-tert-Butyl-3-methyl-2-pyridinecarboxamide (I) was treated with two equivalents of butyllithium at -40 C, and the resulting dianion was C-alkylated with 3-chlorobenzyl chloride (II) to provide the phenetylpyridine (III). Further refluxing with phosphoryl chloride afforded nitrile (IV), which was condensed with the piperidinyl Grignard reagent (V) to yield, after hydrolysis, ketone (VI). Acid-catalyzed cyclization of ketone (VI) produced the tricyclic compound (VII). Demethylation was then accomplished by conversion to the ethyl carbamate (VIII) by treatment with ethyl chloroformate, followed by hydrolysis to the N-unsubstituted piperidine (IX). Finally, acetylation of (IX) in the presence of pyridine provided the target amide.

Drug Information Express,Drug R&D,Chemical Database,Patent Search.
Copyright © 2006-2026 Drug Future. All rights reserved.Contact Us