【药物名称】Pelrinone hydrochloride, AY-28768
化学结构式(Chemical Structure):
参考文献No.317
标题:Amino-pyrimidine derivs.
作者:Bagli, J.F. (American Home Products Corp.)
来源:EP 0130735; ES 8602694; JP 1985025974; US 4505910
合成路线图解说明:

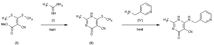
The cyclization of acetamidine (I) with 2-cyano-3,3-bis(methylthio)-2-propenoic acid methyl ester (II) by means ot NaH in DMF gives 2-methyl-6-(methylthio)-4 oxo-1,4-dihydropyrimidine-5-carbonitrile (III), which is then condensed with 3-pyridylmethyl amine (IV) by refluxing in dimethoxyethane solution.

参考文献No.63033
标题:Pelrinone hydrochloride
作者:Prous, J.; Casta馿r, J.
来源:Drugs Fut 1988,13(8),728
合成路线图解说明:

The cyclization of acetamidine (I) with 2-cyano-3,3-bis(methylthio)-2-propenoic acid methyl ester (II) by means ot NaH in DMF gives 2-methyl-6-(methylthio)-4 oxo-1,4-dihydropyrimidine-5-carbonitrile (III), which is then condensed with 3-pyridylmethyl amine (IV) by refluxing in dimethoxyethane solution.

参考文献No.88433
标题:Chemistry and positive inotropic effect of pelrino
作者:Bagli, J.; Bogri, T.; Palameta, B.; Rakhit, S.; Peseckis, S.; McQuillan, J.; Lee, D.K.
来源:J Med Chem 1988,31(4),814-23
合成路线图解说明:

The cyclization of acetamidine (I) with 2-cyano-3,3-bis(methylthio)-2-propenoic acid methyl ester (II) by means ot NaH in DMF gives 2-methyl-6-(methylthio)-4 oxo-1,4-dihydropyrimidine-5-carbonitrile (III), which is then condensed with 3-pyridylmethyl amine (IV) by refluxing in dimethoxyethane solution.

Drug Information Express,Drug R&D,Chemical Database,Patent Search.
Copyright © 2006-2026 Drug Future. All rights reserved.Contact Us