【药物名称】Duloxetine hydrochloride, LY-248686(free base), LY-264453, Xeristar, Ariclaim, Yentreve, Cymbalta
化学结构式(Chemical Structure):
参考文献No.45061
标题:Asymmetric synthesis
作者:Berglund, R.A. (Eli Lilly and Company)
来源:EP 0650965; JP 1995188065; US 5362886
合成路线图解说明:

The ketone intermediate (II) can also be reduced with NaBH4 in ethanol to the racemic alcohol (VII), which is submitted to optical resolution with (S)-(+)-mandelic acid to provide the (S)-enantiomer (IV) already described.

参考文献No.45062
标题:Chiral synthesis of 1-aryl-3-aminopropan-1-ols
作者:Staszak, M.A.; Staten, G.S.; Weigel, L.O. (Eli Lilly and Company)
来源:CA 2042346; EP 0457559; JP 1992226948
合成路线图解说明:

Reaction of 2-acetylthiophene (I) with paraformaldehyde and dimethylamine in ethanol gives 3-(dimethylamino)-1-(2-thienyl)-1-propanone (II), which is enantioselectively reduced with a 2:1 complex of (2R,3S)-4-(dimethylamino)-3-methyl-1,2-diphenyl-2-butanol (III) and LiAlH4 in toluene to yield (S)-3-(dimethylamino)-1-(2-thienyl)-1-propanol (IV). The condensation of (IV) with 1-fluoronaphthalene (V) by means of NaH in DMSO affords the corresponding naphthyl ether (VI), which is finally monodemethylated with 2,2,2-trichloroethyl chloroformate and Zn in toluene and treated with oxalic acid.

参考文献No.145851
标题:Asymmetric synthesis and absolute stereochemistry of LY248686
作者:Frazier, J.; Staszak, M.; Weigel, L.; Staten, G.; Deeter, J.
来源:Tetrahedron Lett 1990,31(49),7101
合成路线图解说明:

Reaction of 2-acetylthiophene (I) with paraformaldehyde and dimethylamine in ethanol gives 3-(dimethylamino)-1-(2-thienyl)-1-propanone (II), which is enantioselectively reduced with a 2:1 complex of (2R,3S)-4-(dimethylamino)-3-methyl-1,2-diphenyl-2-butanol (III) and LiAlH4 in toluene to yield (S)-3-(dimethylamino)-1-(2-thienyl)-1-propanol (IV). The condensation of (IV) with 1-fluoronaphthalene (V) by means of NaH in DMSO affords the corresponding naphthyl ether (VI), which is finally monodemethylated with 2,2,2-trichloroethyl chloroformate and Zn in toluene and treated with oxalic acid.

参考文献No.584717
标题:Chemo-enzymatic synthesis of the antidepressant duloxetine and its enantiomer
作者:Liu, H.; Hoff, B.H.; Anthonsen, T.
来源:Chirality 2000,12(1),26
合成路线图解说明:

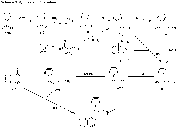
Reaction of thiophene-2-carboxylic acid (VIII) with oxalyl chloride and PPh3 gives the corresponding acyl chloride (IX), which is condensed with vinyltributylstannane, yielding 1-(2-thienyl)-2-propen-1-one (X). The addition of HCl to the double bond of (X) affords 3-chloro-1-(2-thienyl)-1-propanone (XI), which is reduced with BH3 and the chiral (R)-oxazaborolidine catalyst (XII) in THF to give (S)-3-chloro-1-(2-thienyl)-1-propanol (XIII) (4). Treatment of (XIII) with NaI in acetone affords the (S)-3-iodopropanol derivative (XIV), which is condensed with methylamine in THF to provide (S)-3-(methylamino)-1-(2-thienyl)-1-propanol (XV). Finally, this compound is condensed with 1-fluoronaphthalene (V) by means of NaH in DMA. The Friedel-Crafts condensation of thiophene (XVI) with 3-chloropropionyl chloride (XVII) by means of SnCl4 in benzene gives the previously reported 3-chloro-1-(2-thienyl)-1-propanone (XI), which is reduced with NaBH4 in ethanol to yield the racemic alcohol (XVIII). Optical resolution of (XVIII) performed by means of immobilized CALB (Novozyme 435, Novo-Nordisk A/S) affords the previously reported (S)-alcohol (XIII).

参考文献No.584735
标题:An asymmetric synthesis of duloxetine hydrochloride, a mixed uptake inhibitor of serotonin and norepinephrine, and its C-14 labeled isotopomers
作者:Wheeler, W.J.; Kuo, F.
来源:J Label Compd Radiopharm 1995,36(3),213
合成路线图解说明:

Reaction of thiophene-2-carboxylic acid (VIII) with oxalyl chloride and PPh3 gives the corresponding acyl chloride (IX), which is condensed with vinyltributylstannane, yielding 1-(2-thienyl)-2-propen-1-one (X). The addition of HCl to the double bond of (X) affords 3-chloro-1-(2-thienyl)-1-propanone (XI), which is reduced with BH3 and the chiral (R)-oxazaborolidine catalyst (XII) in THF to give (S)-3-chloro-1-(2-thienyl)-1-propanol (XIII) (4). Treatment of (XIII) with NaI in acetone affords the (S)-3-iodopropanol derivative (XIV), which is condensed with methylamine in THF to provide (S)-3-(methylamino)-1-(2-thienyl)-1-propanol (XV). Finally, this compound is condensed with 1-fluoronaphthalene (V) by means of NaH in DMA. The Friedel-Crafts condensation of thiophene (XVI) with 3-chloropropionyl chloride (XVII) by means of SnCl4 in benzene gives the previously reported 3-chloro-1-(2-thienyl)-1-propanone (XI), which is reduced with NaBH4 in ethanol to yield the racemic alcohol (XVIII). Optical resolution of (XVIII) performed by means of immobilized CALB (Novozyme 435, Novo-Nordisk A/S) affords the previously reported (S)-alcohol (XIII).

合成路线图解说明:

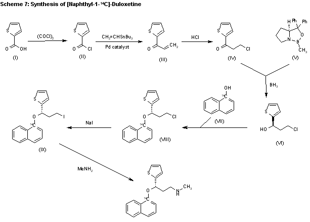
The reaction of thiophene-2-[14C]carboxylic acid (VII) with oxalyl chloride and PPh3 gives the corresponding labeled acyl chloride (VIII), which is condensed with vinyltributylstannane, yielding 1-(2-thienyl)-[1-14C]prop-2-en-1-one (IX). The addition of HCl to the double bond of (IX) affords 3-chloro-1-(2-thienyl)-[1-14C]propan-1-one (X), which is reduced with BH3 and the chiral (R)-oxazaborolidine catalyst (XI) in THF to give (S)-3-chloro-1-(2-thienyl)-[1-14C]propan-1-ol (XII). Treatment of (XII) with NaI in acetone affords the labeled (S)-3-iodopropanol derivative (XIII), which is condensed with methylamine in THF to provide (S)-3-(methylamino)-1-(2-thienyl)-[1-14C]propan-1-ol (XIV). Finally, this compound is condensed with 1-fluoronaphthalene (V) by means of NaH in DMA.

合成路线图解说明:

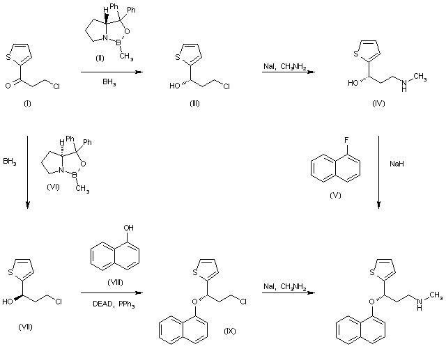
The reaction of thiophene-2-carboxylic acid (I) with oxalyl chloride and PPh3 gives the corresponding acyl chloride (II), which is condensed with vinyltributylstannane to yield 1-(2-thienyl)-2-propen-1-one (III). The addition of HCl to the double bond of (III) affords 3-chloro-1-(2-thienyl)-1-propanone (IV), which is reduced with BH3 and the chiral (S)-oxazaborolidine catalyst (V) in THF to give the (R)-3-chloro-1-(2-thienyl)-1-propanol (VI). The condensation of (VI) with [1-14C]-1-naphthol (VII) by means of DEAD and PPh3 in THF affords the labeled naphthyl ether derivative (VIII), which is treated with NaI in acetone to give the labeled iodo derivative (IX). Finally, this compound is treated with methylamine in hot THF.

参考文献No.593867
标题:Duloxetine oxalate
作者:Sorbera, L.A.; Casta馿r, R.M.; Casta馿r, J.
来源:Drugs Fut 2000,25(9),907
合成路线图解说明:

Reaction of 2-acetylthiophene (I) with paraformaldehyde and dimethylamine in ethanol gives 3-(dimethylamino)-1-(2-thienyl)-1-propanone (II), which is enantioselectively reduced with a 2:1 complex of (2R,3S)-4-(dimethylamino)-3-methyl-1,2-diphenyl-2-butanol (III) and LiAlH4 in toluene to yield (S)-3-(dimethylamino)-1-(2-thienyl)-1-propanol (IV). The condensation of (IV) with 1-fluoronaphthalene (V) by means of NaH in DMSO affords the corresponding naphthyl ether (VI), which is finally monodemethylated with 2,2,2-trichloroethyl chloroformate and Zn in toluene and treated with oxalic acid.

合成路线图解说明:

The ketone intermediate (II) can also be reduced with NaBH4 in ethanol to the racemic alcohol (VII), which is submitted to optical resolution with (S)-(+)-mandelic acid to provide the (S)-enantiomer (IV) already described.

合成路线图解说明:

Reaction of thiophene-2-carboxylic acid (VIII) with oxalyl chloride and PPh3 gives the corresponding acyl chloride (IX), which is condensed with vinyltributylstannane, yielding 1-(2-thienyl)-2-propen-1-one (X). The addition of HCl to the double bond of (X) affords 3-chloro-1-(2-thienyl)-1-propanone (XI), which is reduced with BH3 and the chiral (R)-oxazaborolidine catalyst (XII) in THF to give (S)-3-chloro-1-(2-thienyl)-1-propanol (XIII) (4). Treatment of (XIII) with NaI in acetone affords the (S)-3-iodopropanol derivative (XIV), which is condensed with methylamine in THF to provide (S)-3-(methylamino)-1-(2-thienyl)-1-propanol (XV). Finally, this compound is condensed with 1-fluoronaphthalene (V) by means of NaH in DMA. The Friedel-Crafts condensation of thiophene (XVI) with 3-chloropropionyl chloride (XVII) by means of SnCl4 in benzene gives the previously reported 3-chloro-1-(2-thienyl)-1-propanone (XI), which is reduced with NaBH4 in ethanol to yield the racemic alcohol (XVIII). Optical resolution of (XVIII) performed by means of immobilized CALB (Novozyme 435, Novo-Nordisk A/S) affords the previously reported (S)-alcohol (XIII).

合成路线图解说明:

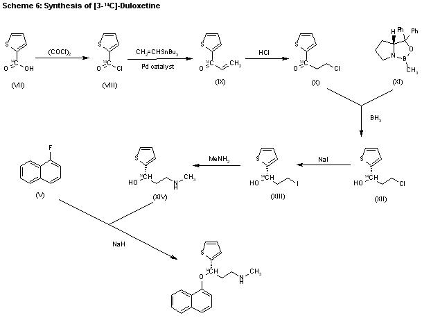
The reaction of 2-acetylthiophene (I) with [14C]-paraformaldehyde and dimethylamine in ethanol gives 3-(dimethylamino)-1-(2-thienyl)-[3-14C]propan-1-one (II), which is enantioselectively reduced in toluene with a 2:1 complex of (2R,3S)-4-(dimethylamino)-3-methyl-1,2-diphenyl-2-butanol (III) and LiAlH4 in toluene to yield (S)-3-(dimethylamino)-1-(2-thienyl)-[3-14C]propan-1-ol (IV). The condensation of (IV) with 1-fluoronaphthalene (V) by means of NaH in DMSO affords the corresponding naphthyl ether (VI), which is finally monodemethylated with 2,2,2-trichloroethyl chloroformate and Zn in toluene.

合成路线图解说明:

The reaction of [carbonyl-14C]-2-acetylthiophene (I) with paraformaldehyde and dimethylamine in ethanol gives 3-(dimethylamino)-1-(2-thienyl)-[1-14C]propan-1-one (II), which is enantioselectively reduced with a 2:1 complex of (2R,3S)-4-(dimethylamino)-3-methyl-1,2-diphenyl-2-butanol (III) and LiAlH4 in toluene, yielding (S)-3-(dimethylamino)-1-(2-thienyl)[1-14C] propan-1-ol (IV). The condensation of (IV) with 1-fluoronaphthalene (V) by means of NaH in DMSO affords the corresponding naphthyl ether (VI), which is finally monodemethylated with 2,2,2-trichloroethyl chloroformate and Zn in toluene.

合成路线图解说明:

The reaction of thiophene-2-[14C]carboxylic acid (VII) with oxalyl chloride and PPh3 gives the corresponding labeled acyl chloride (VIII), which is condensed with vinyltributylstannane, yielding 1-(2-thienyl)-[1-14C]prop-2-en-1-one (IX). The addition of HCl to the double bond of (IX) affords 3-chloro-1-(2-thienyl)-[1-14C]propan-1-one (X), which is reduced with BH3 and the chiral (R)-oxazaborolidine catalyst (XI) in THF to give (S)-3-chloro-1-(2-thienyl)-[1-14C]propan-1-ol (XII). Treatment of (XII) with NaI in acetone affords the labeled (S)-3-iodopropanol derivative (XIII), which is condensed with methylamine in THF to provide (S)-3-(methylamino)-1-(2-thienyl)-[1-14C]propan-1-ol (XIV). Finally, this compound is condensed with 1-fluoronaphthalene (V) by means of NaH in DMA.

合成路线图解说明:

The reaction of thiophene-2-carboxylic acid (I) with oxalyl chloride and PPh3 gives the corresponding acyl chloride (II), which is condensed with vinyltributylstannane to yield 1-(2-thienyl)-2-propen-1-one (III). The addition of HCl to the double bond of (III) affords 3-chloro-1-(2-thienyl)-1-propanone (IV), which is reduced with BH3 and the chiral (S)-oxazaborolidine catalyst (V) in THF to give the (R)-3-chloro-1-(2-thienyl)-1-propanol (VI). The condensation of (VI) with [1-14C]-1-naphthol (VII) by means of DEAD and PPh3 in THF affords the labeled naphthyl ether derivative (VIII), which is treated with NaI in acetone to give the labeled iodo derivative (IX). Finally, this compound is treated with methylamine in hot THF.

参考文献No.778369
标题:Duloxetine (Cymbalta(TM)), a dual inhibitor of serotonin and norepinephrine reuptake
作者:Bymaster, F.P.; Beedle, E.E.; Findlay, J.; Gallagher, P.T.; Krushinski, J.H.; Mitchell, S.; Robertson, D.W.; Thompson, D.C.; Wallace, L.; Wong, D.T.
来源:Bioorg Med Chem Lett 2003,13(24),4477
合成路线图解说明:

The enantioselective reduction of 3-chloro-1-(2-thienyl)-1-propanone (I) by means of BH3 catalyzed by (R)-1-methyl-3,3-diphenyltetrahydropyrrolo[1,2-c][1,3,2]oxazaborole (II) in THF gives 3-chloro-1-(2-thienyl)propan-1(S)-ol (III), which is treated with methylamine and NaI in acetone/THF to yield (S)-N-methyl-N-[3-(2-thienyl)propyl]amine (IV). Finally, this compound is condensed with 1-fluoronaphthalene (V) by means of NaH in DMA to provide duloxetine. Alternatively, the enantioselective reduction of 3-chloro-1-(2-thienyl)-1-propanone (I) by means of BH3 catalyzed by (S)-1-methyl-3,3-diphenyltetrahydropyrrolo[1,2-c][1,3,2]oxazaborole (VI) in THF gives 3-chloro-1-(2-thienyl)propan-1(R)-ol (VII), which is condensed with 1-naphthol (VIII) by means of DEAD and PPh3 to yield the expected aryl ether (IX), with inversion of the configuration. Finally, this compound is treated with methylamine and NaI in acetone/THF to provide duloxetine.

参考文献No.800752
标题:Approaches to an asymmetric synthesis of duloxetine, a mixed uptake inhibitor of serotonin and norepinephrine, and its C-14 labeled analogs
作者:Wheeler, W.J.; Kuo, F.
来源:Synthesis and Applications of Isotopically Labelled Compounds 1994,597-603
合成路线图解说明:

The reaction of 2-acetylthiophene (I) with [14C]-paraformaldehyde and dimethylamine in ethanol gives 3-(dimethylamino)-1-(2-thienyl)-[3-14C]propan-1-one (II), which is enantioselectively reduced in toluene with a 2:1 complex of (2R,3S)-4-(dimethylamino)-3-methyl-1,2-diphenyl-2-butanol (III) and LiAlH4 in toluene to yield (S)-3-(dimethylamino)-1-(2-thienyl)-[3-14C]propan-1-ol (IV). The condensation of (IV) with 1-fluoronaphthalene (V) by means of NaH in DMSO affords the corresponding naphthyl ether (VI), which is finally monodemethylated with 2,2,2-trichloroethyl chloroformate and Zn in toluene.

合成路线图解说明:

The reaction of [carbonyl-14C]-2-acetylthiophene (I) with paraformaldehyde and dimethylamine in ethanol gives 3-(dimethylamino)-1-(2-thienyl)-[1-14C]propan-1-one (II), which is enantioselectively reduced with a 2:1 complex of (2R,3S)-4-(dimethylamino)-3-methyl-1,2-diphenyl-2-butanol (III) and LiAlH4 in toluene, yielding (S)-3-(dimethylamino)-1-(2-thienyl)[1-14C] propan-1-ol (IV). The condensation of (IV) with 1-fluoronaphthalene (V) by means of NaH in DMSO affords the corresponding naphthyl ether (VI), which is finally monodemethylated with 2,2,2-trichloroethyl chloroformate and Zn in toluene.

合成路线图解说明:

The reaction of thiophene-2-carboxylic acid (I) with oxalyl chloride and PPh3 gives the corresponding acyl chloride (II), which is condensed with vinyltributylstannane to yield 1-(2-thienyl)-2-propen-1-one (III). The addition of HCl to the double bond of (III) affords 3-chloro-1-(2-thienyl)-1-propanone (IV), which is reduced with BH3 and the chiral (S)-oxazaborolidine catalyst (V) in THF to give the (R)-3-chloro-1-(2-thienyl)-1-propanol (VI). The condensation of (VI) with [1-14C]-1-naphthol (VII) by means of DEAD and PPh3 in THF affords the labeled naphthyl ether derivative (VIII), which is treated with NaI in acetone to give the labeled iodo derivative (IX). Finally, this compound is treated with methylamine in hot THF.

Drug Information Express,Drug R&D,Chemical Database,Patent Search.
Copyright © 2006-2026 Drug Future. All rights reserved.Contact Us